3
svar
222
visningar
Nayazo behöver inte mer hjälp
Avsvalningslagen
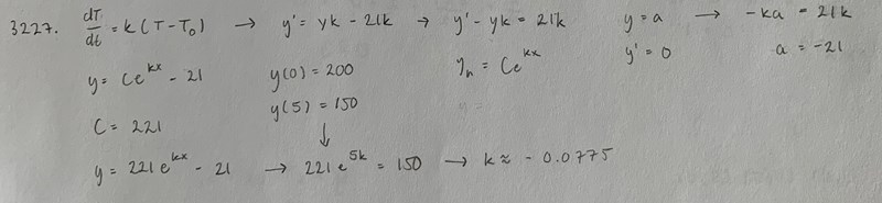
Hej! Jag kan inte hitta vad jag har gjort för fel på a uppgiften... boken får att k=-0,065


Du ska nog vara Då går funktionen mot 21 då
tack! Nu ser jag att jag glömde minustecknet 🤭
Jag hade hellre formulerat , för att tydligt markera att vi har en negativ derivata, dvs en avtagande temp-funktion. Om jag vore problemförfattare,vill säga