b2 - 6.26ef
Uppgift: Låt w vara ett givet reellt tal. Bestäm ett argument av 1/(1+2iw)^(2) och även e^(iw)/(1+2iw)^(2)
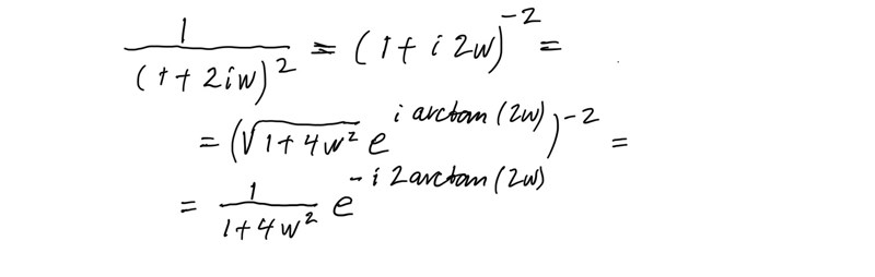
Min lösning hittils:
Facit svar: -2arctan(2w)
Andra uppgiften har jag ej börjat på.
Facit svar: w-2arctan(2w)
Denna är rätt "omständig". Hela övning 6.26 i Månsson hänger ihop och varje deluppgift ger underlag till nästa uppgift som då blir enkel. Prova först a) och sedan b) etc. och tillämpa div. argument-regler, t.ex. arg(u/v)=arg(u)-arg(v) etc.
Trinity2 skrev:Denna är rätt "omständig". Hela övning 6.26 i Månsson hänger ihop och varje deluppgift ger underlag till nästa uppgift som då blir enkel. Prova först a) och sedan b) etc. och tillämpa div. argument-regler, t.ex. arg(u/v)=arg(u)-arg(v) etc.
Jag har löst de tidigare uppgifterna och hittar att med hjälp av räknelagarna får man tillslut 1-(1+4iw-4w^(2)). Sedan vet jag inte hur jag ska fortsätta.
arg(1/(1+2iw)^2)=arg(1)-arg((1+2iw)^2)=0-2(1+2iw)=-2arctan(2w)
postar mitt svar för framtiden, tack till alla som hjälpte!
Det näst sista ledet i ekvationerna ovan, med både real- och imaginärdel, bör nog kollas upp.
.jpg?width=800&upscale=false)