Båglängdsintegral m h a riemannsumma
Hej,
Vi jobbar med en inlämningsuppgift i flervariabelanalys. Uppgiften lyder:
"Beräkna längden 𝐿 av kurvan L som ges med ekvationen
genom att approximera kurvan med en trasig linje som har 𝑛 ≥ 10 hörnpunkter.
Kolla svaret med kurvintegralen."
Vi har räknat ut följande för kurvintegralen:
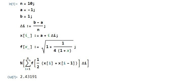
När vi sedan ska göra en approximation använder vi formeln för riemannsumma:
Sätter in den funktion vi använt i integralen och får då:
Höjer vi värdet på n till 100 får vi istället 2,0327
Det borde vara ett tal närmare 2,56, men blir istället längre ifrån. Är det någon som kan hjälpa oss med vad vi gör för fel?
Det framgår inte helt hur ni beräknar er summa, men tänk på att . Om man tolkar det ni skriver bokstavligt verkar ni låta och det var ju inte meningen.

Och om man kör fler än 10 gånger och plottar resultatet konvergerar det fint mot det förväntade värdet

Tack för svaret. Jag har missat något och förstår inte hur jag ska ställa upp riemannsumman för att få det att stämma. Nu har vår lärare godkänt uppgiften, fast vi inte har klarat av den ordentligt. Men jag skulle ändå vilja förstå hur jag ska tänka för att lösa den här typen av avgifter.
Behöver du mer hjälp med detta? Stämmer det att du beräknade x från 1 till 10 i summan? Ser du hur du ska få x-värdena att bli rätt?