1
svar
92
visningar
Balansera formel med hjälp av OT
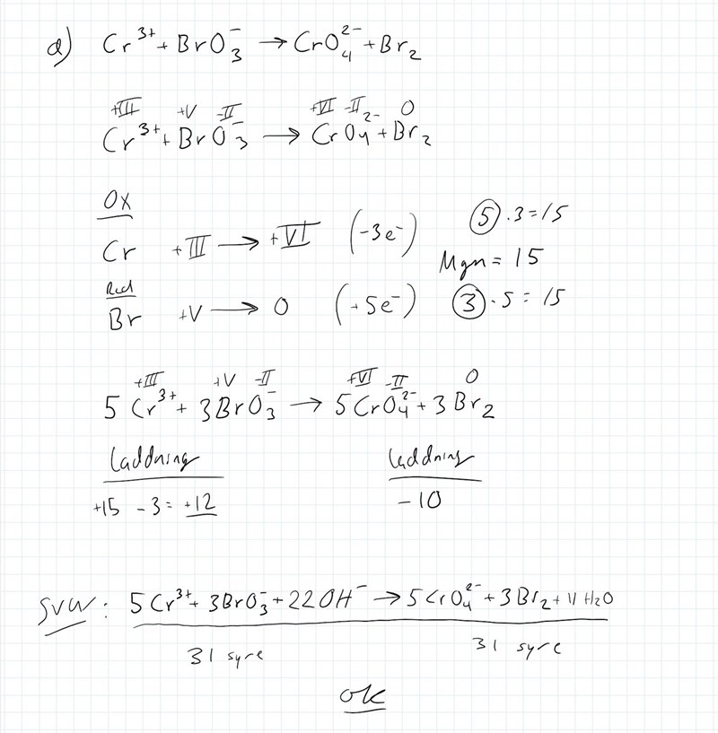
Hej, kan någon se vad jag har gjort fel i min lösning när jag balanserar formeln? Mitt svar skiljer ju sig från facits. (se bilden under)

Du skriver att det räcker med 3 bromatjoner (med en bromatom i varje) för att ge 3 brommolekyler (med två bromatomer i varje), men det gör det ju inte... Hade du lyckats skapa 1 mol bromatomer extra för varje mol bromatjoner som reagerar, så hade du blivit rik!