10 svar
68 visningar
David 18
Postad: Igår 07:31

Bankrånaren som hamnade i poolen

Hej!

Sitter med ett problem som jag inte får riktigt styr på. Jag misstänker att jag behöver in i gränsvärden och maxpunkter men det är allt för länge sen jag arbetade med det och kommer inte riktigt ihåg hur man gör.

"En bankrånare blir jagad av en väktare men råkar ramla i en fyrkantig pool. När väktaren hunnit till hörnet av poolen har rånaren simmat till mitten. Väktaren springer snabbare än rånaren simmar. Rånaren springer snabbare än väktaren springer. I vilken riktning skall rånaren simma (i en rät linje) för att maximera sin chans att fly?"

 

Jag inser att förhållandet mellan väktarens springsträcka och rånarens simsträcka behöver maximeras. Om rånaren simmar längs med hypotenusan till det motsatta hörnet (utifrån det hörn väktaren står i) så är det sämre än om rånaren simmar till mitten av en av sidorna som är mitt emot väktaren har jag kommit fram till.

Förhållande om hypotenusa = 2,8 ish

Förhållande om mitten på sidan = 3

Jag misstänker dock att det mest optimala är någonstans mitt emellan motsatt hörn och mitten på sidan och det är här jag behöver hjälp.

Yngve 42557
Postad: Igår 07:49

Eftersom du har angivit värden på förhållanden misstänker jag att det finns mer information i uppgiften än vad du har skrivit.

Kan du lägga upp en bild på uppgiften och på din skiss/uträkning?

David 18
Postad: Igår 07:54

Det finns inte mer information än så. Jag har utgått från att poolen är en kvadrat med sidan 3 och räknat på det.

Kan ju även tänka sig att mitten av poolen är i origo och jobba med koordinater tänker jag.

Bubo 7956
Postad: Igår 08:59

"Fyrkantig " måste nog betyda "kvadratisk", annars är problemet olösligt. 

Jag skulle föreslå att placera kvadraten I första kvadranten. Hörn i origo, (2, 0) (0,2) (2,2) 

Med polisen i origo behöver rånaren simma uppåt höger. Säg att han simmar i vinkeln v mot x-axeln. Hur blir sträckorna då?

David 18
Postad: Igår 10:41

Bubo, jag behöver nog lite mer hjälp tror jag.

Laguna Online 31983
Postad: Igår 10:50

Rita, och inför lämpliga variabler.

David 18
Postad: Igår 13:45

Som sagt, jag saknar metoder. Jag har en aning om vad som skall till men saknar verktygslådan. Vad räknas som lämpliga variabler?

Laguna Online 31983
Postad: Igår 13:49

Variabler som du kan uttrycka uppgiften med.

Rita.

Trinity2 Online 4063
Postad: Igår 14:07

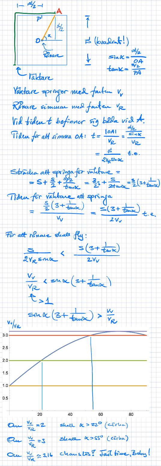
"En bankrånare blir jagad av en väktare men råkar ramla i en fyrkantig pool. När väktaren hunnit till hörnet av poolen har rånaren simmat till mitten. Väktaren springer snabbare än rånaren simmar. Rånaren springer snabbare än väktaren springer. I vilken riktning skall rånaren simma (i en rät linje) för att maximera sin chans att fly?"

Antar kvadrat.

"När väktaren hunnit till hörnet av poolen har rånaren simmat till mitten." = Problemet är symmetriskt, vi kan välja orientering hur vi vill.

"Väktaren springer snabbare än rånaren simmar." Typ Mach1. Rånare chanslös. Case closed.

"Rånaren springer snabbare än väktaren springer." ett krav för att rånaren inte skall bli fångad när han väl kommer ur poolen.

Jag ser ingen lösning på detta problem utan mera fakta.

Snabb skiss gav

V_väktare / V_rånare / sin(a) < 3 + 1/tan(a)

men det kan vara fel. Oavsett ser jag ingen lösning till detta.

Bubo 7956
Postad: Igår 14:39
Trinity2 skrev:

Jag ser ingen lösning på detta problem utan mera fakta.

Snabb skiss gav

V_väktare / V_rånare / sin(a) < 3 + 1/tan(a)

men det kan vara fel. Oavsett ser jag ingen lösning till detta.

Visst, det gäller att jämföra sträckorna för polisen och rånaren.

Jag fick inte exakt samma kvot som du, men det löser sig nog när vi får upp en snygg figur här. 

Trinity2 Online 4063
Postad: Igår 15:31
Bubo skrev:
Trinity2 skrev:

Jag ser ingen lösning på detta problem utan mera fakta.

Snabb skiss gav

V_väktare / V_rånare / sin(a) < 3 + 1/tan(a)

men det kan vara fel. Oavsett ser jag ingen lösning till detta.

Visst, det gäller att jämföra sträckorna för polisen och rånaren.

Jag fick inte exakt samma kvot som du, men det löser sig nog när vi får upp en snygg figur här. 

Kan det vara menat såhär?

Svara
Close