2
svar
102
visningar
Baq1 behöver inte mer hjälp
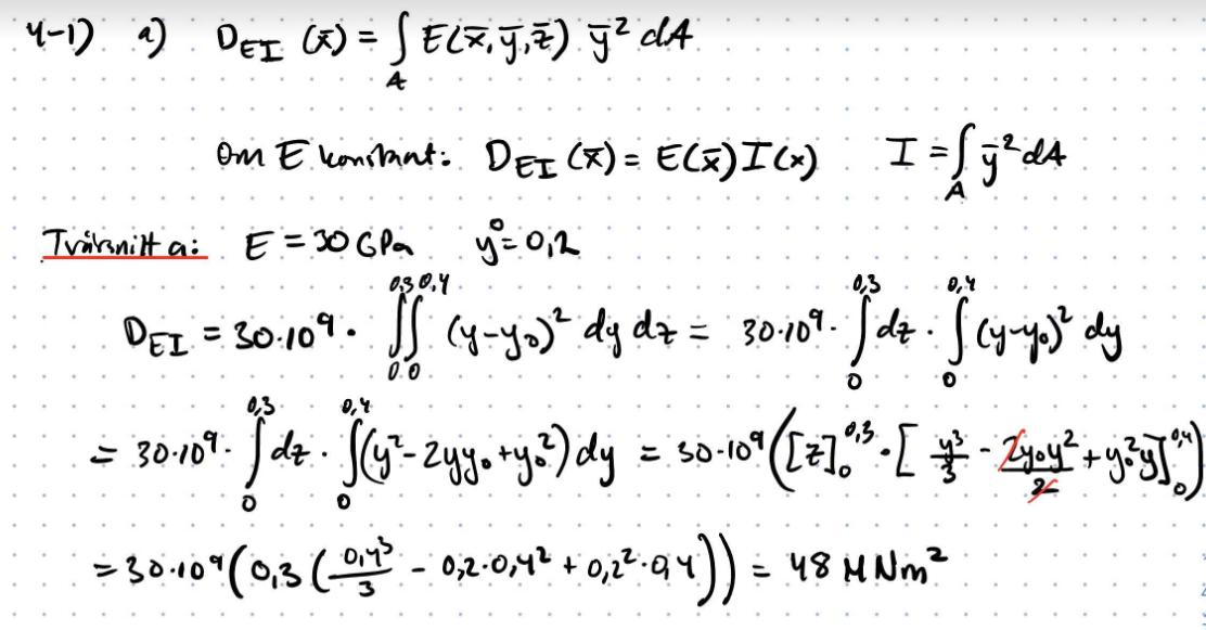
Bärverksanalys: bestämma ett tvärsnitts styvhet med dubbelintegral
Hej!
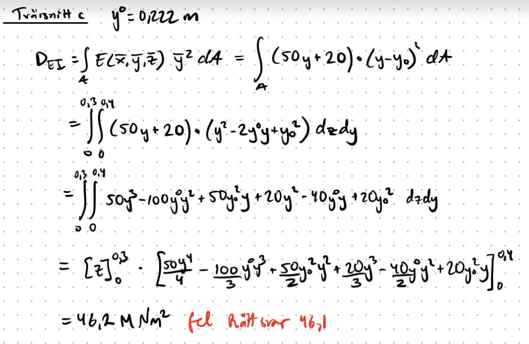
Har problem med 4-1 a) har bestämt det första tvärsnittets styvhet, bifogar lösningen. Men får inte till det för de 2 andra tvärsnitten. Har gjort ett försök för 3e men får det inte till rätt svar.
Har i en tidigare uppgift bestämt yo vilket är så jag löste det första tvärsnittet. Funkade dock inte på tredje, är det det som är problemet? Att jag inte ska använda gamla uträkningar för y0?



I botten av din bild hänvisas till 'följande tre uttryck'.
Kan du skicka en bild på de uttrycken?
Löst uppgifterna. Tvärsnitt c var rätt uträknat, fel infacit. Steiners sats för tvärsnitt b