1
svar
77
visningar
Bas och dimension
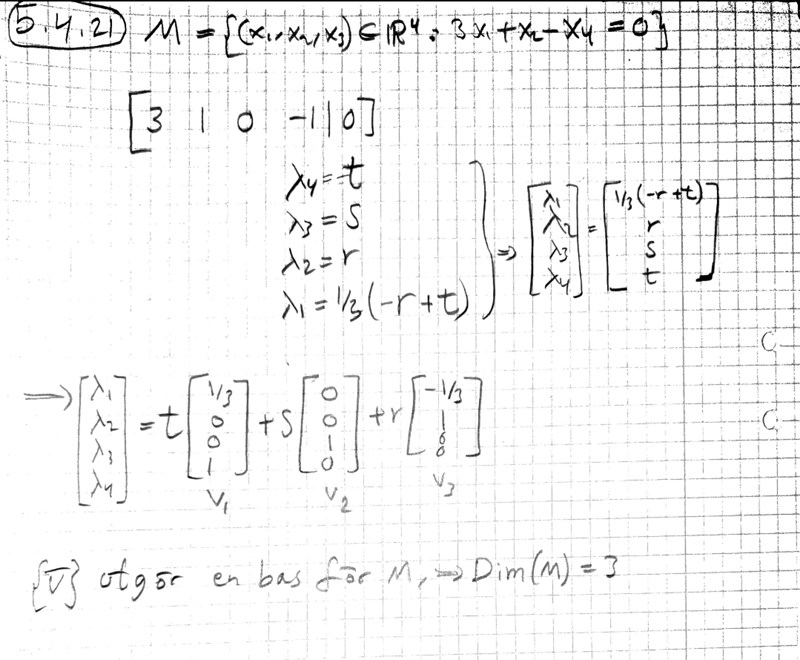
Bestäm en bas i rummet
M = (x_{1}, x_{2}, x_{3}, x_{4}) R^{4} (3x_{1} + x_{2} − x_{4} = 0) och ange dess dimension.
- Har jag gjort rätt?

Jag hittar inget fel iaf