3
svar
70
visningar
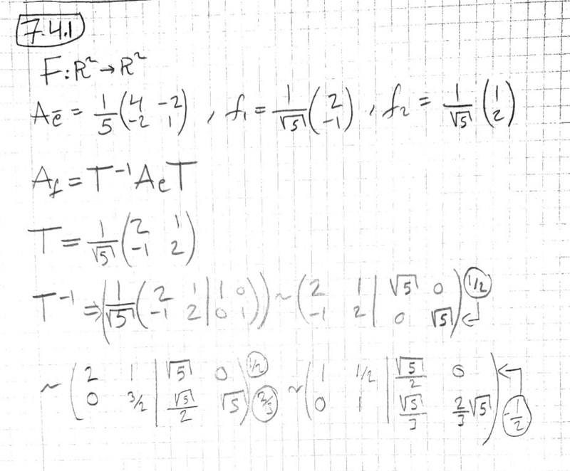
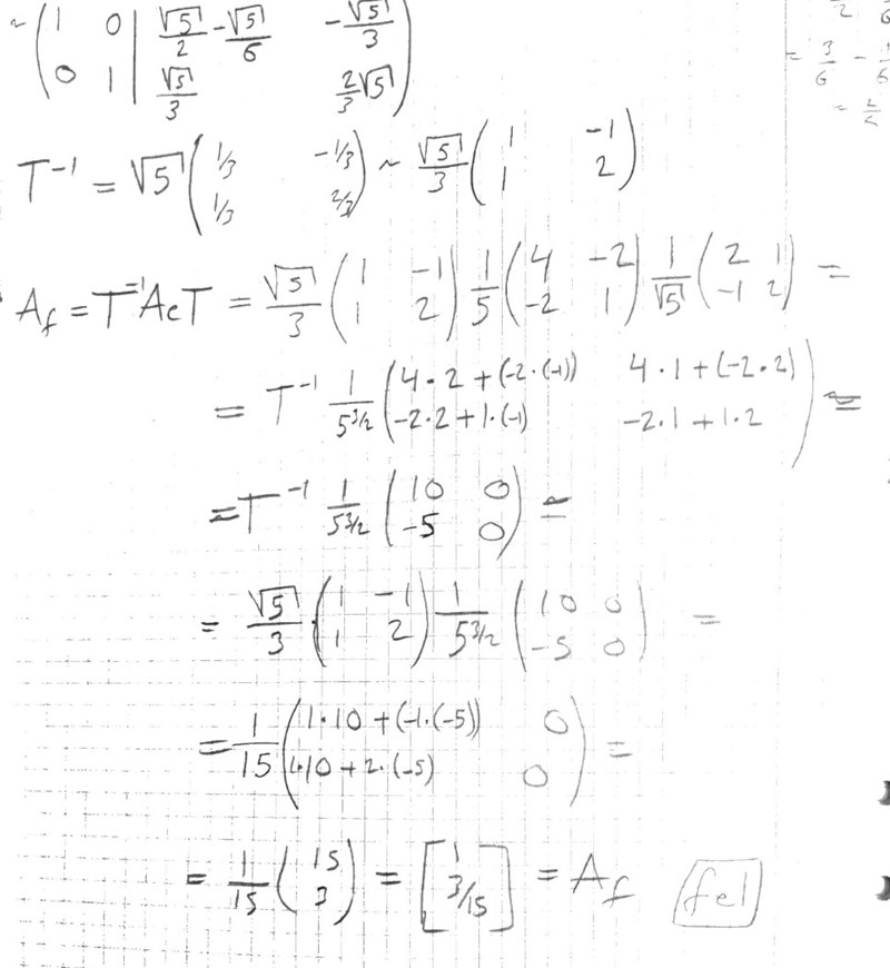
Basbyte
Har läst satsen och utgått från den men det blir fel. Hjälp?

Mitt försök:


Matrisen T, konverterar den från e till f, eller tvärtom? Vad säger facit? :)
