Basbyte: hur gör jag?
Hej!
Har försökt lösa första delen i uppgiften nedan (se mina beräkningar), men får fel svar. Någon som kan detektera var det blir fel? :)


henrikus skrev:
Du har fått rätt svar, men jag förstår inte hur du har tänkt. Skulle du vilja förklara vad det är som sker i uträkningen? :) Vet t.ex. inte vad r är för vektor.
r är ju den vektor som i den nya basen har koordinaterna (1,2), dvs
Nu vill vi skriva den som
Och a och b får vi genom att använda sambandet mellan den nya och den gamla basen.
henrikus skrev:r är ju den vektor som i den nya basen har koordinaterna (1,2), dvs
Nu vill vi skriva den som
Och a och b får vi genom att använda sambandet mellan den nya och den gamla basen.
Okej, tack! Jag tror jag förstår. Det enda jag tycker känns lite konstigt är att vi sätter koordinaterna (1,2) framför e^1 och e^2. Vad är anledningen till detta? Är det en linjärkombination?
Tänk på det vanliga koordinatsystemet.
Det är väl en linjärkombination, ja.
Vad du har räknat ut vet jag inte men nåt är det ju. Kan det vara koordinaterna för en punkt i den nya basen om koordinaterna i den gamla är given.
henrikus skrev:Tänk på det vanliga koordinatsystemet.
Det är väl en linjärkombination, ja.
Vad du har räknat ut vet jag inte men nåt är det ju. Kan det vara koordinaterna för en punkt i den nya basen om koordinaterna i den gamla är given.
Stort tack, nu är jag med!
Men, får jag fråga om del 2 i frågan: nu ska jag istället bestämma koordinaterna med avseende på basen e^1, e^2 för den vektor som i basen e1, e1 har koordinaterna (3, -1). Har lite svårt att lösa denna men har en idé:
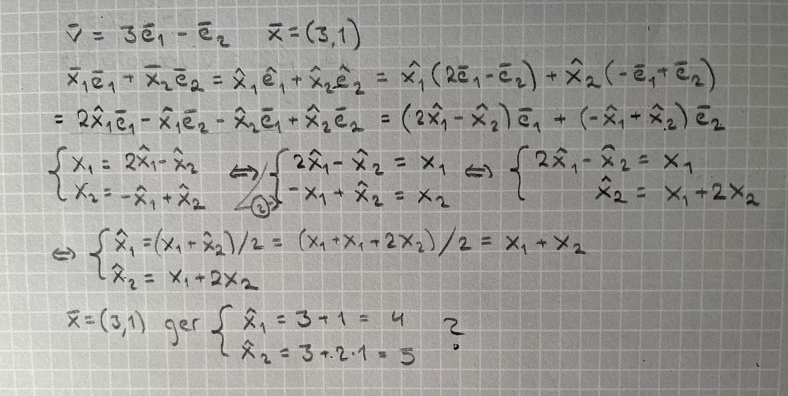
Vektorn v = 3e1 - e2
Vektorn v i den nya basen = 3 e^1 - e^2, så för att lösa detta måste jag veta hur e^1 och e^2 ser ut. Men hur tar jag reda på det?
Den metod du använt för del 1 borde funka på del 2.
henrikus skrev:Den metod du använt för del 1 borde funka på del 2.
Får inte till det med den metoden. Började kolla lite samband i min lärobok och försökte få till det, men blev bara jättekonstigt och onödigt komplicerat tror jag (dessutom fel svar):

Jag redigerade mitt förra inlägg. Kan det stämma?
henrikus skrev:Den metod du använt för del 1 borde funka på del 2.
Du får återigen helt rätt svar! Men antar att du menar att r = 3e1 - e2 (utan "hattar" på e)?
Men, det jag inte förstår är rad 3: vad får dig att se att 3e1 = e^1 + e^2, och samma för 3e2?
Det är rätt. Det ska inte vara hattar. Jag har ändrat det.
Jag lägger ihop de två ekvationerna. Då försvinner e2. Så kan jag lösa ut e1.
Sen tar jag 2 gånger den nedre ekvationen - den övre ekvationen. Då försvinner e1. Så kan jag lösa ut e2.
henrikus skrev:Det är rätt. Det ska inte vara hattar.
Jag lägger ihop de två ekvationerna. Då försvinner e2. Så kan jag lösa ut e1.
Sen tar jag 2 gånger den nedre ekvation - den övre ekvationen. Då försvinner e1. Så kan jag lösa ut e2.
Stort tack för hjälpen!