2
svar
165
visningar
Basbytematris: bestäm baserna
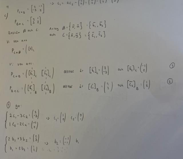
Hej jag har problem med del c i uppgiften. Jag har försökt, se nedan, men förstår dels inte hur man får baserna i R^3 när P är i R^2 (?).

Uppgiftslydelsen "... för samma delrum V i Rˆ3".
Vad är ett delrum? och ge ett exempel på ett delrum i R3 för att P ska gälla.
Vi hade liknande fråga i denna tråd.