2
svar
95
visningar
Soderstrom behöver inte mer hjälp
Baser
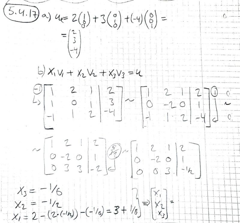
Jag har fastnat på (b) (tror jag). Lösning nedan.
(1)
(2)
(1) = (2) ger…
PATENTERAMERA skrev:(1)
(2)
(1) = (2) ger…
Min beroendeekvation stämmer alltså, bara det att jag satte upp matrisen fel! Ska se vad jag får för svar!

