2
svar
73
visningar
Baser
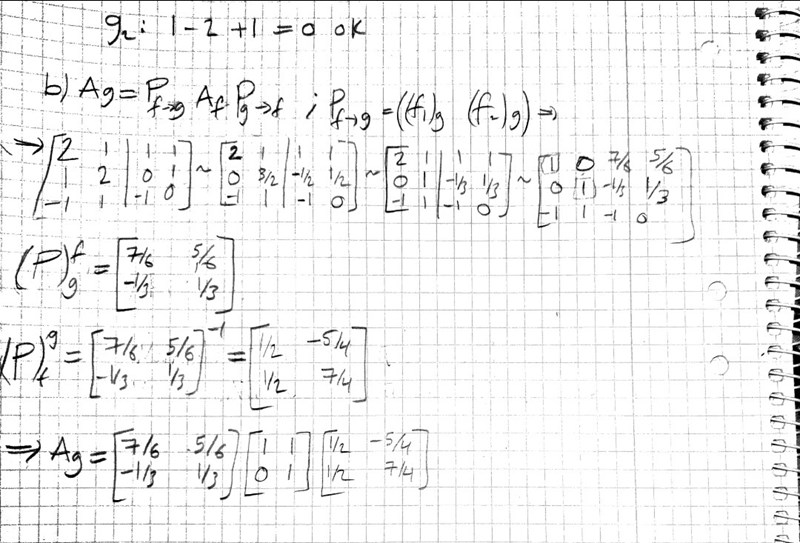
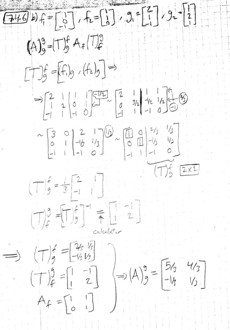
Jag förstår inte riktigt hur man ska göra på (b).

Använd basbytesmatriser.
Jag gör fel någonstans. Jag får att . Men känns fel...

Tillägg: 24 sep 2021 16:34
Har nu löst uppgiften. Men vad är skillnaden mellan försöken?

Tillägg: 24 sep 2021 16:39
Felet ligger i matrisen i röda området.
