3
svar
109
visningar
Carl Viggo behöver inte mer hjälp
Basketboll
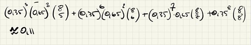
Hej! Jag har löst följande uppgift, men undrar om någon ser en enklare lösning:

Nej, det finns nog ingen genväg här.
Enda enklare vägen kan du genom att använda en ti-räknare som kan räkna ut all sannolikhet, finns en funktion för det
Tack!