Baskurs: Värdemängd

Här förstår jag tänket med att det lägsta värdemängden kan anta är 1 eftersom alla reela tal upphöjt till två alltid kommer vara > 0 så den här funktionen kommer som lägst vara 1 då x=0. Men skulle detta vara ett giltigt svar?
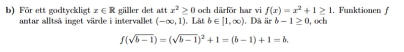
Facit har skrivit följande:
Visa spoiler

Jag tycker ditt svar är tillräckligt. Att skapa ett och visa att känns överflödigt när är en sådan grundläggande egenskap.
Notera att facit bevisar att varje värde i intervallet y>=1 antas. Det hade varit juste om det hade stått i uppgiften att detta krävs, så jag hålller med föregående inlägg. Man kan annars visa samma sak genom att först påpeka att f är kontinuerlig på hela R och sedan tillämpa satsen att kontinuerliga bilden av en sammanhängande mängd (i detta fall R) är sammanhängande.