Bästa Skottläget
Hej, jag har i uppgift att redovisa denna fråga och jag är ganska osäker på hur jag ska bära mig åt.

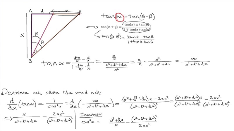
Jag förstår att när B förflyttas uppåt mot A så kommer vinkeln a att förändras tills den når en maximipunkt för vinkeln, men inte hur jag ska tänka för att redovisa vart den punken sitter.
Det jag har provat hittils är att mäta triangeln ur sidan i boken och skriva in dess proportioner i geogebra för att ge mig ett uppskattad svar:

Jag flyttade runt synfältet tills jag hittade det största värdet, som blev 26.1 grader
Jag använde bara geogebra för att hjälpa mig själv att visualisera uppgiften, men har ingen aning om hur jag ska räkna härifrån
Tacksam för hjälp
Här är en uppdatering på hur det går:
