Bästam resultantens storlek, riktning och läge för krafterna i figuren nedan
vilken formel ska jag använda här?
Börja med att dela upp de båda sneda kraftena i sina komposanter.
Smaragdalena skrev:Börja med att dela upp de båda sneda kraftena i sina komposanter.
vad menas med dehär? förstår inte vad dom gjort ?
Känner du till de trigonometriska funktionerna sinus och cosinus? Man lär sig dem i Ma1c, och man behöver kunna ihåg dem hela tiden i fortsättningen.
Smaragdalena skrev:Känner du till de trigonometriska funktionerna sinus och cosinus? Man lär sig dem i Ma1c, och man behöver kunna ihåg dem hela tiden i fortsättningen.
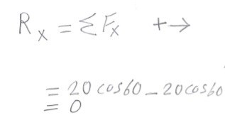
ja jag känner till den men jag menar vad betyder Rx=Fx menar dom vänster=höger?
och vad har dom räknat har dom tagit (höger 20kN*cos60)-(vänster 20kN*cos60)?
Om du delar upp de båda sneda krafterna i sina komposanter, ser du att kraften åt höger är lika stor som kraften åt vänster, så de tar ut varandra och den resulterande kraften i x-led är 0.
Smaragdalena skrev:Om du delar upp de båda sneda krafterna i sina komposanter, ser du att kraften åt höger är lika stor som kraften åt vänster, så de tar ut varandra och den resulterande kraften i x-led är 0.
ok alltså ska man ta höger kraft-vänster kraft?
Ja, du har kraftbalans i x-riktningen, så den behöver du inte bekymra dig mer om. Vilket värde har y-komponenten i de båda sneda krafterna?