Bättre förståelse med en uppgift som handlar om pq formeln

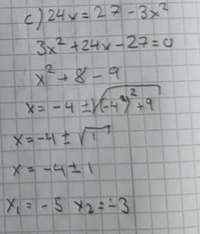
Jag har denna uppgift, och jag har skrivit den såhär
Men får fel på den.. Om jag inte sätter -4 utan istället 4 och 4^2 + 9 så blir det bättre men jag förstår inte varför?
När man har ekvationen och ska göra den till PQ formeln så ska + blir - .. Kan någon hjälpa mig med att förstå vad jag gjort fel här?
Ett negativt tal gånger sig själv (eller gånger ett annat negativt tal) blir alltid positivt.
(-4)2=16
Mrpotatohead skrev:Ett negativt tal gånger sig själv (eller gånger ett annat negativt tal) blir alltid positivt.
(-4)2=16
Jag kom på det nu precis när jag tittade igen, gjorde denna igår. Men annars så var allt skrivet rätt förutom att jag det blev fel där efter -4^2 .. visst??
Japp.
Välkommen till Pluggakuten förresten:)