1
svar
119
visningar
Avokado12345 behöver inte mer hjälp
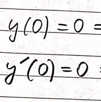
Begynnelsevärdesproblem
För den här uppgiften:

Har jag fått och sen när jag ska lösa ut och har jag gjort såhär:

(det är lite rörigt uträknat), men sen kollar jag på lösningsförslaget:

Och det känns som att de inte använder samma begynnelsevärden? Eller har jag gjort fel på något sätt??
Jag håller med. Här använder de helt andra begynnelsevillkor än de i uppgiften:
