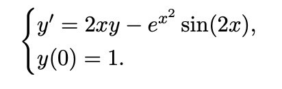
Begynnelsevärdesproblem, tolka facit

Det här är så långt jag kunde komma utan facit.
(edit!) Missade ett y i VL.
Den delen av facit jag inte förstår:

skulle någon kunna förklara vad som händer här? Jag kan inte se tillvägagångssättet.
Vilket steg?
Rad tvåtill tre har hittat derivatan av e^(-x2). Inre derivatanblir ju -2x
Bubo skrev:Vilket steg?
Rad tvåtill tre har hittat derivatan av e^(-x2). Inre derivatanblir ju -2x
Det är rad 2 till 3 (VL) jag inte förstår.
Det är ju deriveringsregeln för produkt av funktioner fast bakvänt, rad 2 efter derivering av produkt och rad 3 innan.
Numrerar vi olika?
Jag ser fyra rader från facit.
Bubo skrev:Numrerar vi olika?
Jag ser fyra rader från facit.
Du har rätt, jag menade att man ser produktregeln om man går från 4 till 3 och ”motsatta” om man går från 3 till 4.
Helt överens, och vi har fått med bägge stegen!