Bestämma funktion
Jag har en idé om hur uppgiften ska lösas men kommer inte fram till rätt svar. tacksam för alla tips!!! 
Rubrik trimmad från "Behöver Akut hjälp med att bestämma funktion" till nuvarande. En beskrivande rubrik underlättar för de som svarar, och hjälper till att skilja trådar från varandra. /Smutstvätt, moderator
Rotera gärna bilden så det blir lättare att läsa.
Eftersom du har information om andraderivatan skulle du kunna börja med att räkna ut vad den är, och sedan sätta in att för x=3 så skall den bli 0.
Edit: alternativt, så kan du observera att funktionens derivata är en andragradsfunktion. Andragradsfunktioner har du förhoppningsvis erfarenhet av och vet hur man ska hantera. Betraktar man funktionen f'(x) så säger de kända punkterna kanske lite mer lättförståeliga saker.
Bedinsis skrev:Eftersom du har information om andraderivatan skulle du kunna börja med att räkna ut vad den är, och sedan sätta in att för x=3 så skall den bli 0.
Såhär långt har jag kommit 
Se där, du nåddes av den insikten på egen hand.
Du har då att 18a+2b=0
Genom att kasta om i den ekvationen kan du få ett uttryck för b, b=-9a, som du kan stoppa in i de två första ekvationerna som därmed bara har två okända variabler a & c.
Sedan kan du använda en av dem för att få ett uttryck för c, sätta in i den andra för att få ett uttryck som bara innehåller den okända variabeln a, som du därmed kan lösa, och använda för att få ut värdena på b och c.
Bedinsis skrev:Se där, du nåddes av den insikten på egen hand.
Du har då att 18a+2b=0
Genom att kasta om i den ekvationen kan du få ett uttryck för b, b=-9a, som du kan stoppa in i de två första ekvationerna som därmed bara har två okända variabler a & c.
Sedan kan du använda en av dem för att få ett uttryck för c, sätta in i den andra för att få ett uttryck som bara innehåller den okända variabeln a, som du därmed kan lösa, och använda för att få ut värdena på b och c.
Jag körde fast, får inte till det.
skulle du kunna visa med ekvationer hur du tänker.
Basma1 skrev:Bedinsis skrev:Se där, du nåddes av den insikten på egen hand.
Du har då att 18a+2b=0
Genom att kasta om i den ekvationen kan du få ett uttryck för b, b=-9a, som du kan stoppa in i de två första ekvationerna som därmed bara har två okända variabler a & c.
Sedan kan du använda en av dem för att få ett uttryck för c, sätta in i den andra för att få ett uttryck som bara innehåller den okända variabeln a, som du därmed kan lösa, och använda för att få ut värdena på b och c.
Jag körde fast, får inte till det.
skulle du kunna visa med ekvationer hur du tänker.
Fick
C= 24a
b =-9a
fattar ej var jag ska stoppar in de och vrf :(
Finemang.
Och nu då jag tittar närmare inser jag att jag ljög lite för dig. Förlåt för det.
Det jag trodde man skulle göra var att efter att ha omvandlat till ett uttryck med bara en okänd variabel skulle det gå att lösa ekvationen utan problem. Dessvärre så säger ekvationerna att 0*a=0, vilket stämmer för alla möjliga värden på a.
Därför får vi acceptera att vi inte kommer längre än så här med de här ekvationerna, och titta på de andra sambanden som finns tillgängliga. Vi vet om att f(2) = 4 och att f(4)= 2 och att f(3)= 3.
Tar vi uttrycket för f där vi ersatt b & c med deras värden uttryckta i a:n så får vi ekvationer med bara två okända variabler, a & d. Detta borde gå att lösa.
Bedinsis skrev:Finemang.
Och nu då jag tittar närmare inser jag att jag ljög lite för dig. Förlåt för det.
Det jag trodde man skulle göra var att efter att ha omvandlat till ett uttryck med bara en okänd variabel skulle det gå att lösa ekvationen utan problem. Dessvärre så säger ekvationerna att 0*a=0, vilket stämmer för alla möjliga värden på a.
Därför får vi acceptera att vi inte kommer längre än så här med de här ekvationerna, och titta på de andra sambanden som finns tillgängliga. Vi vet om att f(2) = 4 och att f(4)= 2 och att f(3)= 3.
Tar vi uttrycket för f där vi ersatt b & c med deras värden uttryckta i a:n så får vi ekvationer med bara två okända variabler, a & d. Detta borde gå att lösa.
så ser det ut just nu, är jag på rätt spår eller helt ute o cyklar?
vad blir nästa steg? 
Nästa steg är att räkna ut f(4) = 2 eller f(3) = 3 på samma sätt som du gjort för att räkna ut f(2) = 4. Du lär få ut ytterligare ett samband med bara två okända variabler a & d. Du är inne på rätt spår.
Bedinsis skrev:Nästa steg är att räkna ut f(4) = 2 eller f(3) = 3 på samma sätt som du gjort för att räkna ut f(2) = 4. Du lär få ut ytterligare ett samband med bara två okända variabler a & d. Du är inne på rätt spår.
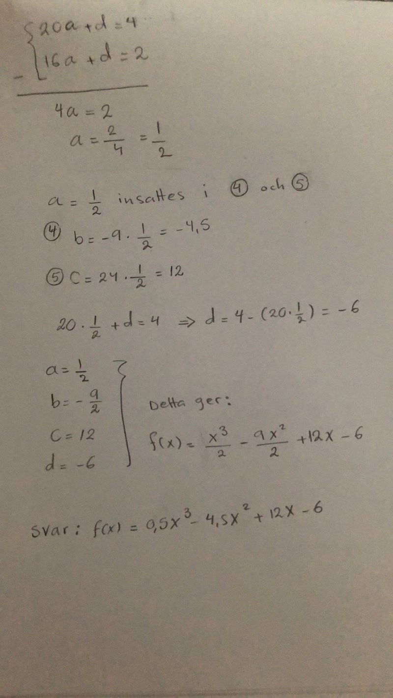
Så ser resultatet ut just nu, ser det rimligt ut? 

Det ser rimligt ut.
Jag ser att 18a+d=3 också uppfylls av dina funna a och d, vilket är ett gott tecken.
Bedinsis skrev:Det ser rimligt ut.
Jag ser att 18a+d=3 också uppfylls av dina funna a och d, vilket är ett gott tecken.
Yes, Tack för hjälpen :) !
Jag behöver hjälp med ytterligare en uppgift. Skulle du kunna hjälpa med den också?
Om du vill få hjälp med ytterligare uppgifter får du starta nya trådar för dem.
Jag vet inte om jag har tid att hjälpa till.
Bedinsis skrev:Om du vill få hjälp med ytterligare uppgifter får du starta nya trådar för dem.
Jag vet inte om jag har tid att hjälpa till.
Okej, Tackar för din tid :)
