Behöver ETT tips bara för att påbörja. Det står helt stilla just nu..
Hej PA. Jag har en uppgift som jag kom på själv men nu kan jag inte lösa den riktigt. Jag ska ta fram radien av halvcirkeln med hjälp av given info. Kvadraten som är till viss andel inritad i halvcirkeln har sidan: (2 inches). Punkten (M) på en av kvadratens sida anger mittpunkten även om det inte är 100% tydligt i bilden. Jag ska även svara i bråkform. Här kommer en bild:
Det hade varit så snällt med ETT enda tips så att jag kan påbörja. Jag har tänkt Phytagoras sats men vill gärna veta ifall det är rätt metod att gå efter?

Rita in cirkelns medelpunkt C och dra en radie från C till M. Sedan kan du använda Pythagoras' sats.
Tack så jättemycket Laguna! 🙋♀️
Alltså om jag förstår dig rätt Laguna så ska jag ej utgå från punkten C som redan finns i bilden? Jag ska markera halvcirkelns medelpunkt med C och dra en linje till punkten M som blir dess radie? Och utifrån det kunna få fram lösningen för radien? 🙋♀️
Om du vill pröva en annan metod kan du lägga in ett koordinatsystem med origo i kvadratens nedre högra hörn.
Kalla halvcirkelns medelpunkt .

Kommer du vidare då?
Annars kan du klicka här för ytterligare ledtråd.
Sambandet för alla punkter som ligger på cirkelbågen blir då den välkända (?) , där är halvcirkelns radie
Detta samband gäller speciellt för de två kända punkterna på cirkelns periferi, vilket ger dig två ekvationer för att lösa ut .
Natascha skrev:Alltså om jag förstår dig rätt Laguna så ska jag ej utgå från punkten C som redan finns i bilden? Jag ska markera halvcirkelns medelpunkt med C och dra en linje till punkten M som blir dess radie? Och utifrån det kunna få fram lösningen för radien? 🙋♀️
Jag såg inte att C fanns redan. Jag menade inte den, utan en ny punkt, som är cirkelns medelpunkt. Du får kalla den vad du vill som inte redan finns.
Ebola skrev:
Du har tre okända men kan bara formulera två relationer. Det är givet att cirkeln är entydigt bestämd så en analytisk lösning måste finnas, vad saknas?
Vet inte om du frågar mig eller TS, men är inte okänd.
Yngve skrev:Ebola skrev:Du har tre okända men kan bara formulera två relationer. Det är givet att cirkeln är entydigt bestämd så en analytisk lösning måste finnas, vad saknas?
Vet inte om du frågar mig eller TS, men är inte okänd.
Mycket riktigt. Vilse i pannkakan där en sväng.
Ebola skrev:
Mycket riktigt. Vilse i pannkakan där en sväng.
Haha ja det händer ju lite då och då.
För att börja med Lagunas tips innan ditt coola tips Yngve så har jag markerat halvcirkelns mittpunkt (z) och därifrån dragit den upp till punkten M och fått ihop en rätvinklig triangel. Jag vill börja med Phytagoras sats då jag från början kom in i den metoden och det hade varit kul att lösa den med hjälp av P.sats.
Blir min lösning då såhär: 1^2 + (1+x)^2 = c^2 ? 
När man säger "halvcirkelns mittpunkt" brukar man mena mittpunkten i HELA cirkeln - ja, det kan vara lite ologiskt.
Den punkt du har kallat z är helt ointressant. Markera punkten p rakt nedanför z och skriv en ekvation som visar att avståndet mellan A och p är lika med avståndet mellan M och p.
Men blir det en rätvinklig triangel Smaragdalena? 🤔
Jag har markerat två streck på två dragna linjer för att följa det som du skrev, nämligen att sträckan mellan A till z är lika med sträckan mellan M till z. 
Drag en linje rakt ner från M. Punkten där den bryter AB kan vi kalla för E
Använd nu Pythagoras sats på triangeln: EMZ (som såklart är en rätvinklig triangel.
Om du drar en vertikal linje från M kan du bygga en rätvinklig triangel. Denna är sedan tillräcklig för att med pythagoras sats ta reda på radien. Om du kallar avståndet från B till z för x har du att:
Vad ger triangeln för relation?
Jag blir lite kluven över hur jag ska skriva upp följande enligt Phytagoras Sats... I mitt fall ska jag inte ta reda på hypotenusan utan den korta kateten av den rätvinkliga triangeln. Jag skriver följande enligt Phytagoras Sats och får: (2)^2 + (2+x)^2 = c^2. I detta fall jagar jag hypotenusan som blir lite fel.. 🤔🤔
Natascha skrev:Jag blir lite kluven över hur jag ska skriva upp följande enligt Phytagoras Sats... I mitt fall ska jag inte ta reda på hypotenusan utan den korta kateten av den rätvinkliga triangeln. Jag skriver följande enligt Phytagoras Sats och får: (2)^2 + (2+x)^2 = c^2. I detta fall jagar jag hypotenusan som blir lite fel.. 🤔🤔
Du är på god väg men det har blivit ett litet fel på din ena katet. Relationen ska vara:
Vi har alltså att c är radien i din relation och söks. Du har även för linjen Az att
Om du löser ut x och stoppar in detta i din relation, vad blir då c?
Nu såg jag mitt fel Ebola. Gud, jag hann också somna lite här på min datorstol... Jag tror att tröttheten spökar i hela mig... Jag skickar alldeles strax lösning! 😴
Givet att jag har min relation som ges av: (2)^2 + (1+x)^2 = c^2.
Vi har även att: Az = 1+x = c och om vi löser ut x får vi att: x = c-1. Ifall vi bakar in den i vår relation så får vi: (2)^2 + (1 + c - 1)^2 = c^2 där c nu ges av: 4 + 1 + c^2 + 1 = c^2.
6 + c^2 = c^2.
Ifall jag tar roten ur allt så får vi roten ur(6) + c = c.
c tar ut varandra och roten ur(6) återstår... 🤔
Natascha skrev:Givet att jag har min relation som ges av: (2)^2 + (1+x)^2 = c^2.
Vi har även att: Az = 1+x = c och om vi löser ut x får vi att: x = c-1. Ifall vi bakar in den i vår relation så får vi: (2)^2 + (1 + c - 1)^2 = c^2 där c nu ges av: 4 + 1 + c^2 + 1 = c^2.
6 + c^2 = c^2.
Ifall jag tar roten ur allt så får vi roten ur(6) + c = c.
c tar ut varandra och roten ur(6) återstår... 🤔
Jag tror det är förvirring om vad x är. Om c är radien i cirkeln så är rätt ekvation 2^2 + (c-1)^2 = c^2.
Det gäller att vilket innebär att Pythagoras samband kan skrivas . Finn och problemet är löst.
Natascha skrev:Givet att jag har min relation som ges av: (2)^2 + (1+x)^2 = c^2.
Vi har även att: Az = 1+x = c och om vi löser ut x får vi att: x = c-1. Ifall vi bakar in den i vår relation så får vi: (2)^2 + (1 + c - 1)^2 = c^2 där c nu ges av: 4 + 1 + c^2 + 1 = c^2.
6 + c^2 = c^2.
Ifall jag tar roten ur allt så får vi roten ur(6) + c = c.
c tar ut varandra och roten ur(6) återstår... 🤔
Du får ursäkta, jag skrev naturligtvis fel. Det ska vara att som Albiki m. fl. rättade.
Ja det känns nog mer logiskt att vårt blir: . Om jag nu utgår från ekvationen: och ersätter med då får vi: ?
Natascha skrev:Ja det känns nog mer logiskt att vårt blir: . Om jag nu utgår från ekvationen: och ersätter med då får vi: ?
Du hade ju själv uppfunnit problemet och var tydlig med att det var radien () som skulle bestämmas. Men nu har du plötsligt ändrat på uppgiften och ska bestämma istället. Varför?
Albiki: Jag känner en enda stor förvirring kring denna uppgiften och alla bokstäver som står för något. Jag ska nog låta den stå en stund och skicka bild på lösning av uppgiften senare eller tidig morgon imorgon.
För referens sammanfattar denna bild de benämningar vi gjort:

Natascha skrev:Ja det känns nog mer logiskt att vårt blir: . Om jag nu utgår från ekvationen: och ersätter med då får vi: ?
är riktigt. Lös för c
2^2+c^2+1^2-2c=c^2
2c-5=0
c=2,5
Det som skulle bestämmas var radien. Alltså 2+x?
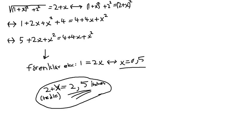
Får man inte ekvationen:
(Pythagoras)
(2+x är radien och 1+x är sträckan mellan E och Z)
Sätt inte igång kriget igen Iridiumjon. Uppgiften går att lösa med P.s. 👈🙈👈🙈🙈
Visa spoiler
Skriv ditt dolda innehåll här