Behöver förklaring av matematiska uttryck
Hej!
I ett av mina hobbyprojekt har jag kört fast i en algoritm som ser ut som denna.
(1)
Det som står i täljaren förstår jag, så den förklarar jag inte så ingående.
x är en kvoten mellan en assets pris dag t och dag t-1, är genomsnittsprisförändringen över alla assets.
Det i täljaren verkar vara en Euclidean norm, alltså längden av skillnaden i kvadrat.
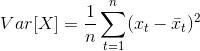
En annan sida som beskriver samma formel har nämnaren som
(2)
Alltså variansen av X.
Det jag inte förstår är vad 1an i nämnaren betyder i (1), den är tjock.
Som jag har förstått det ska (1) och (2) betyda samma sak. Det jag söker är en lite bättre förklaring på hur jag kan tänka och hur jag faktiskt räknar ut detta på ett matematiskt sätt.
Det är möjligt att det finns subtila skillnader i de där två formlerna, men för att förklara vad som menas med nämnaren. Du har ju att är en vektor med n rader. Nu är ju bara en skalär, så man multiplicerar den med en 1:a som det är ungefär underförstått att det ska vara en vektor med n rader och enbart ha 1:or som element. Så alltså är
Tycker det känns som det saknas en faktor 1/n, jmfr


Tack båda två!
Var 1/n försvinner i den första formeln vet jag ej. Får gräva djupare i det! Tack för förtydligandet med 1an, det var ju väldigt logiskt nu när jag tänker efter.