Kommer inte långt med derivering av denna uppgift.
Hej.

Har du börjat med någon uträkning? Skriv gärna även vad frågan säger.
Jag kom ingenstans.
det står derivera.
Sarazz, det står i Pluggakutens regler att rubriken dels skall berätta vad frågan handlar om, dels att man skall undvika ordet hjälp. Rubriken "Behöver hjälp" bryter mot båda. Du kan själv skriva en bättre rubrik genom att redigera ditt förstainlägg.Och, som dividebyzero skrev, hur långt har du själv kommit på uppgiften? /moderator
Vad är frågan?
hej, kan skrivas om till mha potenslagarna.
Vi vet att om vi söker D(kf(x)) med avseende på x så får vi där k är en konstant. kombinera detta med deriveringsreglen, nämligen: så har du allt du behöver för att finna D(y(x)).
Visa ditt försök så kan vi se vart du kör fast (om du kör fast.).
Ok.
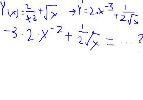
så här långt kommer jag.

y'=-3×2/x^4 +0,5/x^0,5
Sarazz skrev:Ok.
så här långt kommer jag.
Du är väldigt nära, men du har råkat addera 1 istället för att subtrahera. . Kan du fixa till din lilla miss och sedan skriva om uttrycket med potenslagarna så vi inte har negativa exponenter? Notera att du inte måste skriva om det men det blir tydligare/finare att svara så.