3
svar
166
visningar
Behöver hjälp för prov
Jag ska veta radien av en cirkel när jag bara vet arean(30cm2)

30cm2 antar jag att du menar?
Så jag ska bara ta 30 delat på 4?
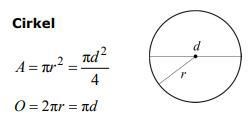
A = area r = radie
30 = pi * r 2
30/pi = r2
Jag vet inte riktigt vilka formler ni har fått tidigare, men som ovan kan du göra.