Behöver hjälp med absolutbelopp (kunde inte kopiera över talet hit så läs gärna i inlägget)
jag får ut att X:en tar ut varann (0) och att jag får ut en 2:a
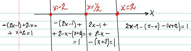
Dela upp problemet i tre delar. Du har delningspunkterna x=-2, x=1/2 och x=2.
Lös nu problemet i dessa tre fall genom att med räkneregler skaffa bort beloppstecknet i respektive delintervall.
Yes, så långt har jag också kommit. Sedan tog jag -(2x-1)+-(2-x)--(x+2)=1 (det blev 0 VL och 0 HL)
Sen tog jag 2x-1 + 2-x - x+2 =1 (för det positiva) och här fick jag bara en 2:a
så här någonstans tror jag att det blev fel
Mr_Z skrev:Yes, så långt har jag också kommit. Sedan tog jag -(2x-1)+-(2-x)--(x+2)=1 (det blev 0 VL och 0 HL)
Sen tog jag 2x-1 + 2-x - x+2 =1 (för det positiva) och här fick jag bara en 2:a
så här någonstans tror jag att det blev fel
Du antar i det första fallet att alla absolutbeloppstermer har motsatt tecken jämfört med det som står innanför. Det betyder att x < 1/2, x > 2 och x < -2. Kan det gälla samtidigt?
I andra fallet antar du att x > 1/2, x < 2 och x > -1/2, och det går ju, men du har fått fel när du utför -(x+2).
Betrakta intervallen som delningspunkterna definierar. (Det är fyra, inte tre.) För vart och ett av dem, vilka tecken gäller för absolutbeloppstermerna?
Mr_Z skrev:Yes, så långt har jag också kommit. Sedan tog jag -(2x-1)+-(2-x)--(x+2)=1 (det blev 0 VL och 0 HL)
Här har du gjort fel. Den ekvationen får man om 2x-1, 2-x och x+2 alla är negativa samtidigt. Men det finns inget sådant värde på x!
För att undvika sådana fel bör man jobba så här:
1. Rita en tallinje
2. Markera de punkter där det som står inne i dina absolutbelopp byter värde (det blir tre punkter)
3. De tre punkterna delar tallinjen i fyra intervall. Det betyder att du har fyra olika fall att räkna med (beroende på om det som står inne i dina absolutbelopp är positivt eller negativt). Ställ upp de fyra ekvationerna (-(2x-1)+-(2-x)--(x+2)=1 kommer inte att bli en av dem, för den situationen finns inte).
4. Lös ekvationerna.
5. Kolla att ditt svar ligger i rätt intervall. Om du till exempel har löst en ekvation som bara gäller när x < -2 måste svaret vara mindre än -2, annars får du stryka det.
dr_lund skrev:Dela upp problemet i tre delar. Du har delningspunkterna x=-2, x=1/2 och x=2.
Lös nu problemet i dessa tre fall genom att med räkneregler skaffa bort beloppstecknet i respektive delintervall.
Edit: tre delningspunkter, fyra fall. Rätt ska vara rätt.
Det är lätt att bli bortdribblad av alla olika fall och falska rötter.
Om man ritar upp grafterna för de tre absolutbeloppen så kan det nog lösas grafiskt.
Ekvationer av denna typ behandlar jag som regel på nedanstående sätt

En schema av denna typ tycker jag ger en bra uppfattning om vad som händer i resp. delintervall.