3
svar
116
visningar
Behöver hjälp med denna fråga!!!

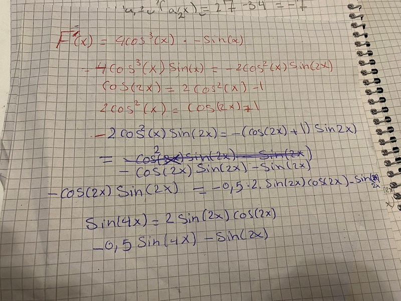
Jag har börjat med att derivera cos^4 (x) och jag fick 4cos^3(x) * -sin(x)
och sedan fastnade jag.
al.ma_se skrev:
Jag har börjat med att derivera cos^4 (x) och jag fick 4cos^3(x) * -sin(x)
och sedan fastnade jag.
Har du provat trigonometriska ettan?
Hur menar du?
