4
svar
205
visningar
Marwa behöver inte mer hjälp
Behöver hjälp med en uppgift
Deluppgift 1
Bestäm samtliga asymptoter till kurvan y=(4x2+2)/(2x).
jag har hittat horisontella asymptot x=2 och det saknar vertikala asymptot. Den sneda asymptot har jag svårt med kan ni hjälpa mig med att hitta den och i såna fall hur i mitt fall?
Wikipedia-artikeln förklara ganska bra hur man gör: https://sv.wikipedia.org/wiki/Asymptot
Gränsvärden är ofta lättare att se som man delar upp bråket i två: y=(4x^2+2)/(2x)=2x+1/x
Det hjälpte inte så mycket
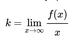
I artikeln står det att:

Kan du få fram k med denna formel?
