6
svar
127
visningar
Behöver hjälp med en uppgift integraler

Visa hur långt du har kommit.
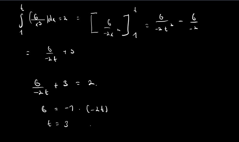
Kan du bestämma integralen först utan att sätta in värden? Det resultatet ska vara sådant att om det deriveras så ska det bli 6/x3
Den primitiva funktion blir 6x/x^2 sedan
körde jag cirkelns ekvation där fastande jag
Marhab skrev:Den primitiva funktion blir 6x/x^2 sedan
körde jag cirkelns ekvation där fastande jag
Vad får du om du deriverar din primitiva funktion? Vad menar du med cirkelns ekvation?
Kan du lägga in bilden på rätt håll? Nu känner jag mig så här:
Har jag löst rätt.
Visa spoiler
Skriv ditt dol
da innehåll här