Hej
Hur tänker du själv?
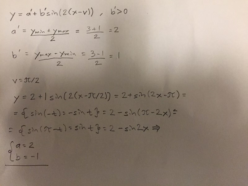
Amplituden får du genom: och
Kommer du vidare?
Jag får fram amplituden alltså b = 1 och det är inte rätt enligt facit. B = 3-1/2 vad gör jag för fel
Nej, b är inte 3-1/2. Rätt svar är att b är (3-1)/2.
- Ser du skillnaden mellan de två svaren?
- Förstår du hur man har tänkt när man har skrivit (3-1)/2?
- Hur mycket är egentligen (3-1)/2?
BM393 skrev:Jag får fram amplituden alltså b = 1 och det är inte rätt enligt facit. B = 3-1/2 vad gör jag för fel
Jag var lite snabb med mitt svar. I detta fall har sinuskurvan eftersom:
Ja, just det! Jag missade också att b och amplituden inte är samma sak.
det är för första gången jag löser en sådant uppgift förstår inte riktig varför det blev -1 fortfarande. jag ser att b hamnar på andra kvadraten men jag får inte alltså inte ihop hur jag ska få fram b=-1
Vad är sin(2*pi/4)?
Vad ser b*sin(2*pi/4) ut att vara?

EDIT: Rättat vinkeln
Ursäkta menar du att där gröna pilen pekar är (2pi/4)
Menar du (pi/4) då är b =1
Nej, nu slarvar du med flera detaljer.
Du har nytta av att först bestämma vad a i din funktion är. Börja med det.
Där jag har satt pilen är x lika med pi/4. Det ser du ju: halvvägs till pi/2.
I funktionsuttrycket ingår b*sin(2x)
Funktionsvärdet för x=(pi/4) är alltså a + b*sin(2*pi/4)
Nu kan du svara på frågorna
Vad är sin(2*pi/4)?
Vad ser b*sin(2*pi/4) ut att vara?
Det går att anta att den andra parametern är större än noll om man också inför en fasförskjutning: . Då kan man skriva om det enligt nedan:

