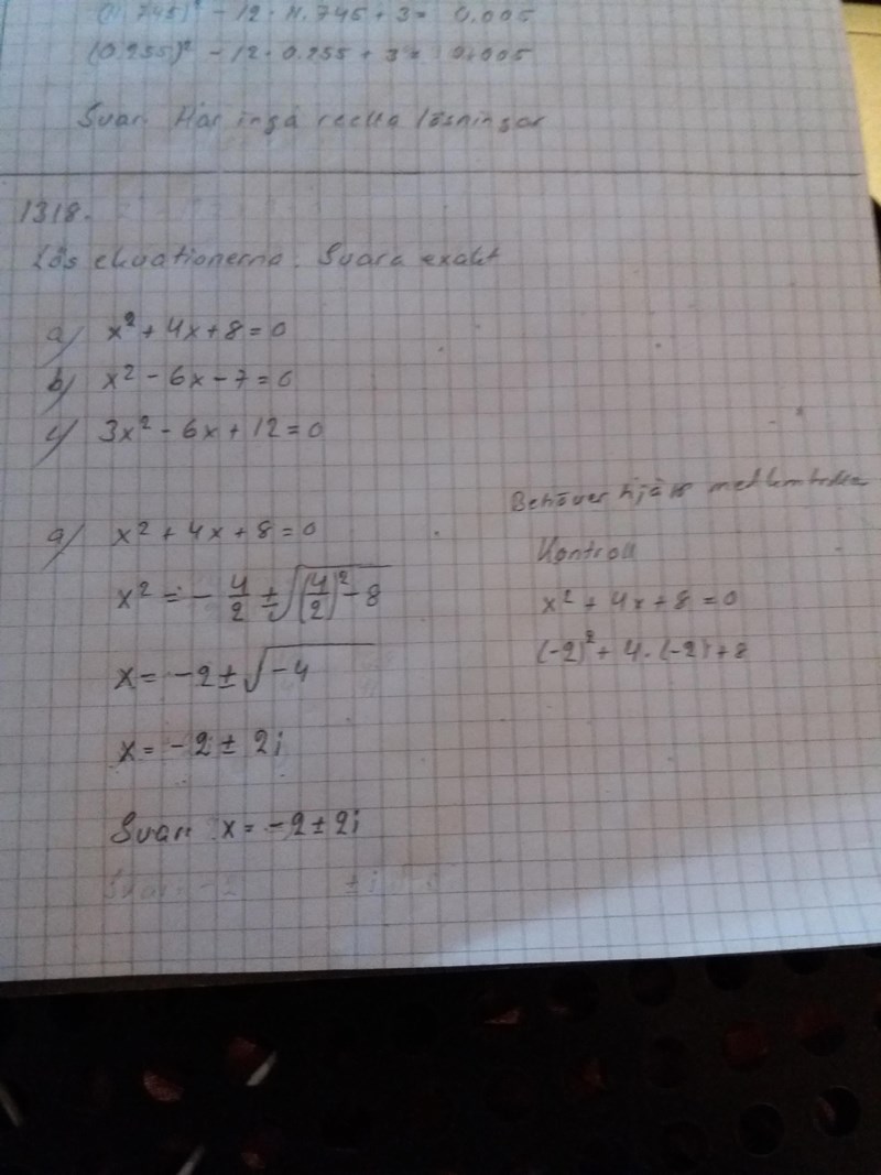
Behöver hjälp med kontrollen av komplexa lösningen

I kontroll: Sätt inte in bara -2 utan sätt in hela svaret dvs -2+2i. Kontrollera också med det andra svaret -2-2i.
Såg du mattekalles inlägg?
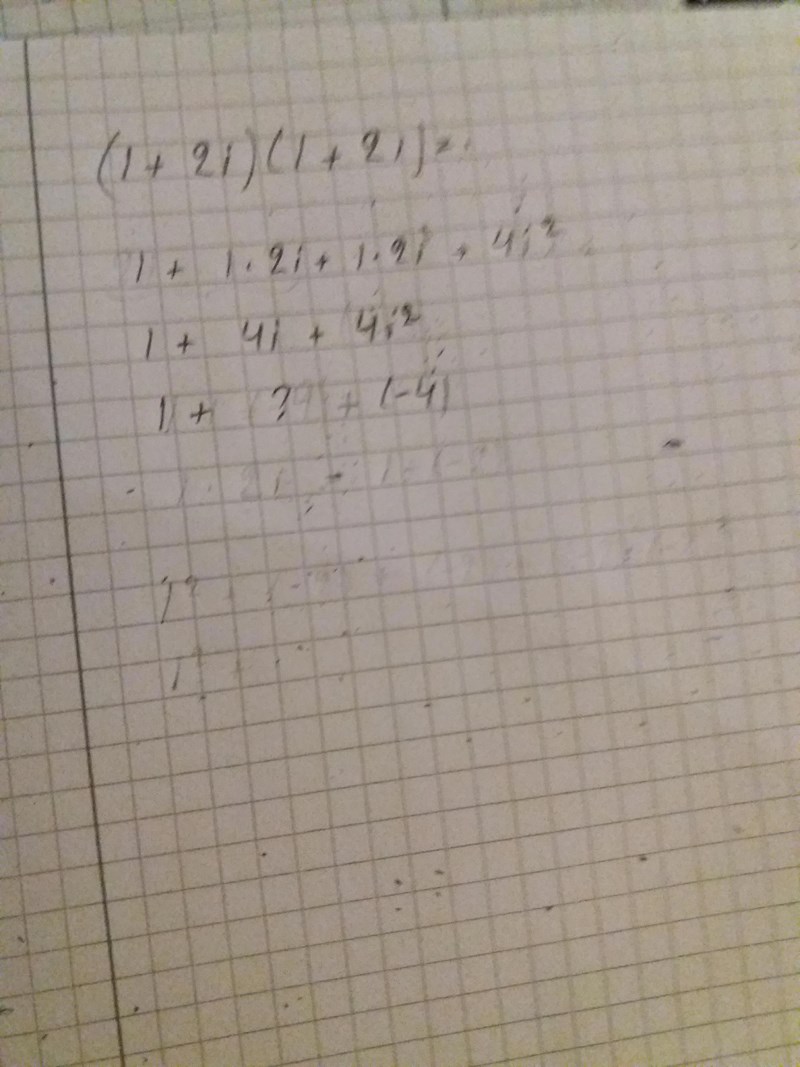
Hur skriver man 2i? i^2 = -1, men hur skriver man 2i?
Hej Päivi,
eftersom
om så är
Jag förstår inte. Det här 8i, hur skriver man det?
Päivi skrev :Jag förstår inte. Det här 8i, hur skriver man det?
Jag tror att du undrar hur det blev 8i av . Det är bara att multiplicera ihop två parenteser.
Testa att räkna ut parentesen! Så här får jag
Förenklar vi lite till får vi
Är det bara x^2 variabeln som man ska ta och inte den här x variabeln?
När du testar ska du beräkna hela , men för att göra det enklare kan man beräkna separat. Sedan sätter man in det
Vi räknar först för roten
Alltså blir hela uttrycket
Sedan testar vi den andra roten , klarar du det själv?
Det här behöver jag flera gånger hjälp med, innan jag lär mig detta
Päivi skrev :Det här behöver jag flera gånger hjälp med, innan jag lär mig detta
Ja, man måste öva för att lära sig.
Övning ger färdighet heter det ju! Om alla kunde allt så hade ingen behövt behövt lära sig något.
Och det hade ju varit jättetråkigt. För det är roligt att lära sig saker!
Kan du försöka räkna ut vad blir? Jag hjälper dig med första steget
Guggle skrev :Päivi skrev :Det här behöver jag flera gånger hjälp med, innan jag lär mig detta
Ja, man måste öva för att lära sig.
Övning ger färdighet heter det ju! Om alla kunde allt så hade ingen behövt behövt lära sig något.
Och det hade ju varit jättetråkigt. För det är roligt att lära sig saker!
Kan du försöka räkna ut vad blir? Jag hjälper dig med första steget
Kram till dig Guggle!
Helt rätt Päivi!
Men du kan fortsätta ett steg till
Är du med på det?
Edit: rättade mitt slarvfel!
Ja. det är jag, Guggle!
Bra. Nu blir det lite svårare, men bara lite!
Vi har ännu inte testat roten . Vi behöver beräkna . Alltså ska vi beräkna
Räkna ut på samma sätt.
Det som gör det lite svårare är att du har ett minustecken att ta hänsyn till nu.
Jag trodde att jag hade skickat bild, men tydligen inte
Hej igen Päivi,
Det blev nästan rätt, men minustecknen gjorde dig förvirrad!
Tänk på att .
Jag har försökt visa med röd text

Alltså blir
Du kan också räkna ut parentesen med kvadratregeln, testa!
Slutligen sätter vi ihop allt för
Alltså är en lösning till ekvationen !
Hej Päivi,
Du räknar ju rätt men du slarvade bort ett minustecken igen!

Jag ser det Guggle



