Behöver hjälp med lokala extrempunkter
Hejsan
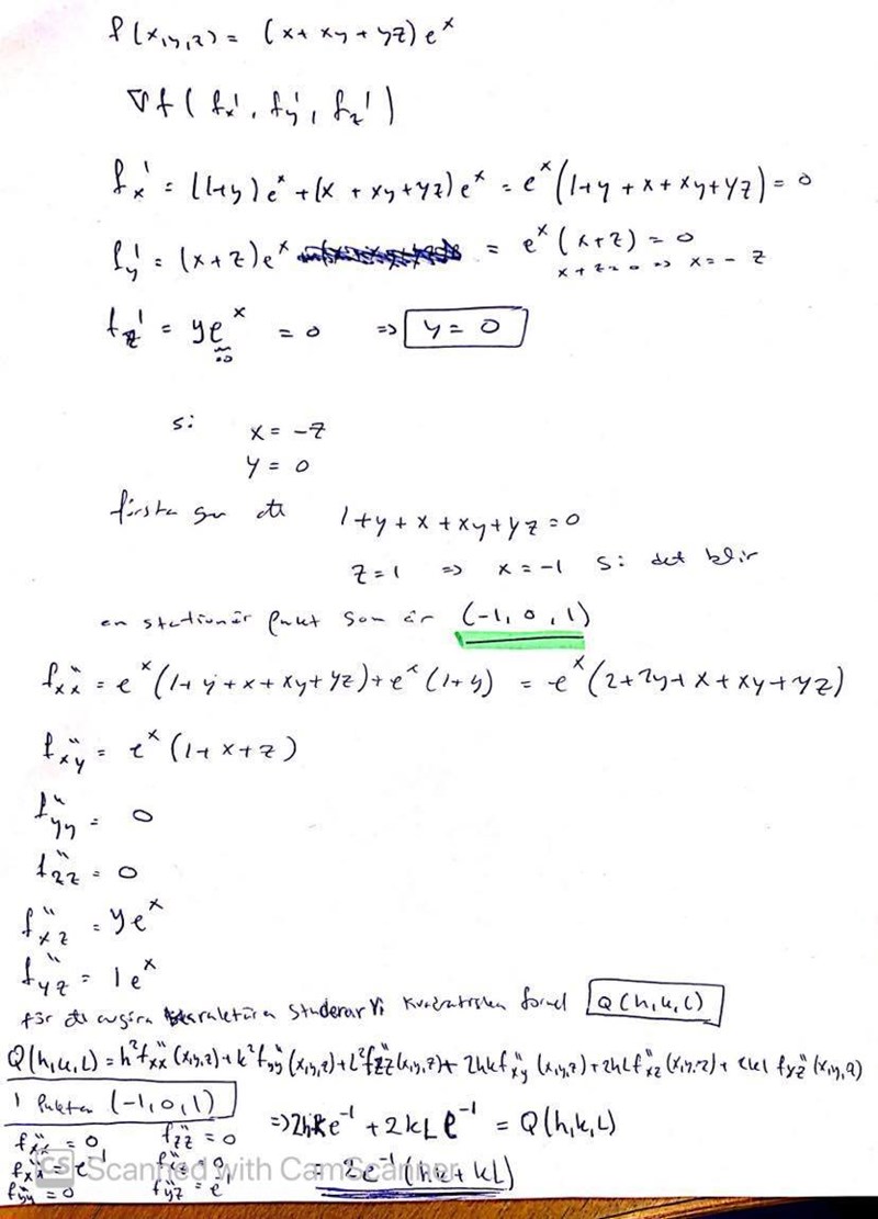
Jag har en uppgift som ni ser under

Den säger att såldes ingen extrempunkt och jag fattar inte varför och hur dem kom till det?
Jag har beräknat denna och jag får framQ (h,k,l)= 2e^-1(hk+kl) vilket betyder att
Q bör vara positiv definit och således är (-1,0,1) en minpunkt till f

Hur drar du slutsatsen pos def? Testa stoppa in lite olika siffror i h, k, l i ditt uttryck så ser du snart att du kan få fram både positiva och negativa värden. Tex om k=-1 och h, l =1 så får vi -4/e
Jaha aa det sant också jag tänkte på teckerna att båda är positivt... men uträkningen är rätt som jag har gjort? Det bara i slutet att jag ska stoppa in olika siffror och se.
Verkar rätt, om det inte är slarv gömt någonstans. Om du vill säga att det kan bli både pos och neg räcker det att stoppa in siffror för att visa att det är sant. Om du däremot skulle vilja säga att det alltid är pos behöver du motivera på något annat sätt, ofta får man då hela kvadrater tex som inte kan bli negativa.