Beloppet av kroppens hastighet

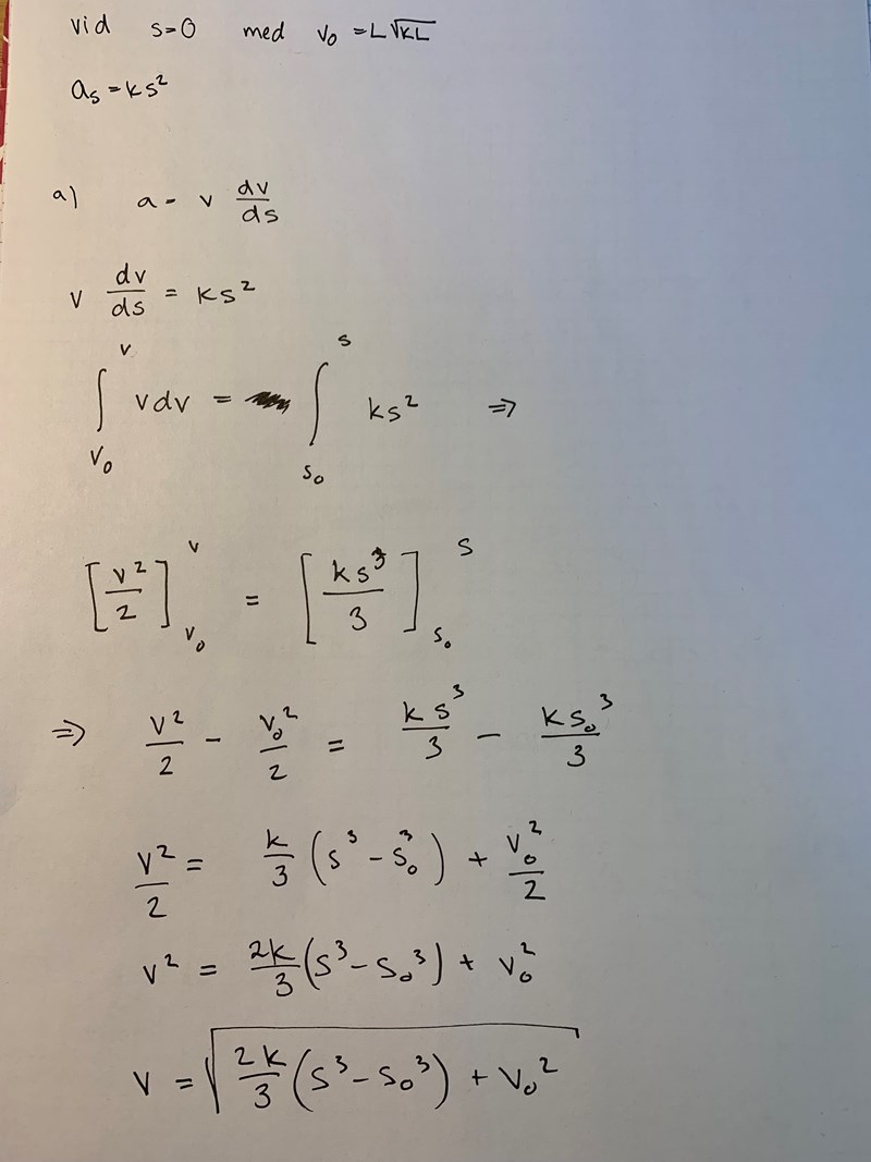
Min påbörjade lösning. Jag vet inte om jag gör rätt, eller riktigt hur jag ska göra. Skulle jag i slutet stoppa in i ekvationen så skulle fortfarande vara okänt. 
och är hastighet och sträcka i startpunkten. är alltså 0, medan . Och s i punkten A har du också fått ett värde på i uppgiften.
haraldfreij skrev:och är hastighet och sträcka i startpunkten. är alltså 0, medan . Och s i punkten A har du också fått ett värde på i uppgiften.
Det s jag fått i uppgiften är .
Men accelerationen är inte med som svarsalternativ. Så jag förstår inte riktigt hur dom tänker där. Vilket s menade du?
Efter jag tänkt till lite så måste s=L i A men stoppar jag in det i ekvationen för v jag fått så får jag
vilket inte heller passar in riktigt.
Edit: det lossna, hade bara räknefel :)