Beloppet av Vut/Vin? Lågpassfilter?
Hej!
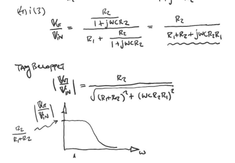
Jag funderar lite på hur de i lösningsförslaget får att beloppet av Vut/Vin blir som de skrivit nedan? Varför blir det kvadratroten ur i nämnaren och de två termerna in nämnaren är kvadrerade medan täljaren är oförändrad? Och hur kan han från den formeln sedan se att det blir ett lågpassfilter? Hur ser han att grafen ska se ut så genom att titta på formeln?

Tack på förhand!
Absolutbeloppet av överföringsfunktionen visar förstärkningen av signalen. Utöver förstärkningen tillkommer en fasvridning mellan insignal och utsignal, men den är man inte lika intresserad av i uppgiften.
Att det är ett lågpassfilter ser man genom att förstärkningen går mot noll när frekvensen ökar.
Man tar absolutbeloppet av täljaren också, men eftersom kvadratroten av en kvadrerad realdel är samma sak som realdelen, så hoppade man helt enkelt över det steget i sin redovisning.