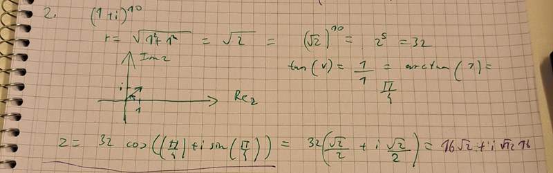
Beräkna (1+i)^10
Hej!
Jag fick 32(cos(pi/4)+isin(pi/4)) men facit fick argumentet till pi/2. Varför är det så olika?

Det beror på hur du gjorde. Hur gjorde du?
Laguna skrev:Det beror på hur du gjorde. Hur gjorde du?
Så gjorde jag.

(1 + i) har argument t.ex π/4.
Vilket argument har då (1 + i)10?
Dr. G skrev:(1 + i) har argument t.ex π/4.
Vilket argument har då (1 + i)10?
Hm jag är faktiskt osäker,men mitt minne säger typ z^n=r(cos(nv)+isin(nv))
isåfall är det då z=32(cos(10*pi/4)+isin(10pi/4))=32(cos(5pi/2)+isin(5pi/2))
Bra!
Skriv nu de vinklarna i sin enklaste form.
Mrpotatohead skrev:Bra!
Skriv nu de vinklarna i sin enklaste form.
Det gjorde jag. Se ändring i #5
destiny99 skrev:Mrpotatohead skrev:Bra!
Skriv nu de vinklarna i sin enklaste form.
Det gjorde jag. Se ändring i #5
Ser bra ut, nu ska du bara ändra vinkeln så den hamnar i rätt intervall.
tomast80 skrev:destiny99 skrev:Mrpotatohead skrev:Bra!
Skriv nu de vinklarna i sin enklaste form.
Det gjorde jag. Se ändring i #5
Ser bra ut, nu ska du bara ändra vinkeln så den hamnar i rätt intervall.
Yes. Hur ändrar man vinkeln så att den hamnar i rätt intervall?
Yes. Hur ändrar man vinkeln så att den hamnar i rätt intervall?
Man subtraherar så många hela varv som möjligt, utan att vinkeln blir negativ.
Smaragdalena skrev:Yes. Hur ändrar man vinkeln så att den hamnar i rätt intervall?
Man subtraherar så många hela varv som möjligt, utan att vinkeln blir negativ.
Okej ,jag subtraherar då 2pi från 5pi/2. Men då blir vinkeln negativ som du säger. 4pi/2-5pi/2=-pi/2.
destiny99 skrev:
Okej ,jag subtraherar då 2pi från 5pi/2. Men då blir vinkeln negativ som du säger. 4pi/2-5pi/2=-pi/2.
Att subtrahera a från b ger b-a, inte a-b.
Yngve skrev:destiny99 skrev:Okej ,jag subtraherar då 2pi från 5pi/2. Men då blir vinkeln negativ som du säger. 4pi/2-5pi/2=-pi/2.
Att subtrahera a från b ger b-a, inte a-b.
jaha okej jag syftade på a-b , men om man säger att man subtraherar b från a så blir det ej negativt vilket är det vi vill ha. I mitt fall är a=5pi/2 och b=2pi. Tack för förklaringen!
Två inlägg borttagna. /Smutstvätt, moderator