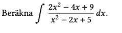
Beräkna
Hur beräknar man en sådan uppgift? 
mattegeni1 skrev:Hur beräknar man en sådan uppgift?
Partial integrering bör funka.
Kanske att du behöver göra det i omgångar också.
Korra skrev:mattegeni1 skrev:Hur beräknar man en sådan uppgift?
Partial integrering bör funka.
Kanske att du behöver göra det i omgångar också.
jag undrar vad om gjort på första? vart fick dom -x^2+2x-4 ifrån?
Skillnaden mellan täljare och nämnare.
Korra skrev:mattegeni1 skrev:Hur beräknar man en sådan uppgift?
Partial integrering bör funka.
Kanske att du behöver göra det i omgångar också.
varför har du skrivit upphöjt till -1 ?
Exempel:
Det går att skriva om uttryck på det sättet.
Korra skrev:Exempel:
Det går att skriva om uttryck på det sättet.
Jag förstår inte dethär steget hur fick dom -1 uppe?
Det går att skriva täljaren som
Och dela upp den i två delar som
Mattemats skrev:Det går att skriva täljaren som
Och dela upp den i två delar som
vad gör dom här?
Vad menar du?
De substituerar tillbaka och a= 2 samt t = x - 1.
Glöm inte bort ettan före bråket vid integrationen bara.
Mattemats skrev:Vad menar du?
De substituerar tillbaka och a= 2 samt t = x - 1.
Glöm inte bort ettan före bråket vid integrationen bara.
jag fick 2x- + C
stämmer svaret?
Jag fick samma svar som du när jag räknade på den
Det stämmer.
Mattemats skrev:Det stämmer.
varför ska man alltid ha konstant?
Utan integrationsgränser är det alltid en konstant med (som kan vara noll) men det har vi ingen information om.
En konstant försvinner vid derivering vilket vi inte kan veta värdet på när vi gör det omvända.
Har vi integrationsgränser så försvinner konstanten.