1
svar
56
visningar
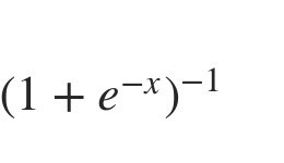
Beräkna

Hej!
Kan jag utveckla det genom att höja 1 med -1 och e^-x med -1
alltså med blir 1^-1+e^-x*(-1)= 1+e^x ??
En fråga till

Om det hade varit ett minus eller plus tecken mellan de två termerna ovan, hade man kunnat flytta ner (1+e^-x)?
Plugga12 skrev:
Hej!
Kan jag utveckla det genom att höja 1 med -1 och e^-x med -1
alltså med blir 1^-1+e^-x*(-1)= 1+e^x ??
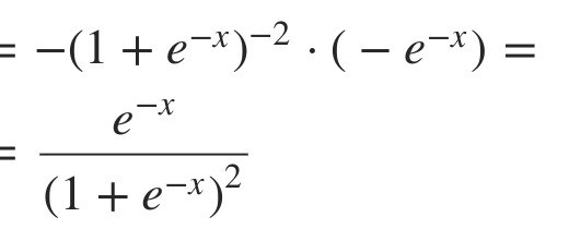
Nej, det blir
En fråga till
Om det hade varit ett minus eller plus tecken mellan de två termerna ovan, hade man kunnat flytta ner (1+e^-x)?
Menar du om det hade varit subtraktion av två termer istället för multilplikation av två faktorer? Dvs så här?
I så fall hade det blivit