5
svar
105
visningar
destiny99 behöver inte mer hjälp
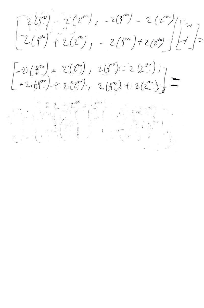
Beräkna A^10
notera att jag ska beräkna A^10=P^-1D^10*P vilket jag gjorde och kom till svaret nedan men facit håller ej med nedan.
-1.jpg?width=800&upscale=false)
Det är svårt att se vad du skrivit, men det brukar väl vara P D^10 P^-1 ?
I frågan har de skrivit D=P^-1 A P, och om vi då skriver om det får du A=P D P^-1
Hondel skrev:Det är svårt att se vad du skrivit, men det brukar väl vara P D^10 P^-1 ?
I frågan har de skrivit D=P^-1 A P, och om vi då skriver om det får du A=P D P^-1
Okej så jag ska multiplicera P med D^10 och sen med p^-1 För att få A^10 ? Sen ska vi även multiplicera A^10 med [-1 1]
Den sista multiplikationen skall göras enligt uppgiften.
Analys skrev:Den sista multiplikationen skall göras enligt uppgiften.
Så?
Löste uppgiften. Tack ändå!