Beräkna area

Hej! Kan någon förklara vad jag gör för fel? Svaret ska vara1,25 a.e.
Hur har du tagit fram dina gränser? :)
gränserna kommer ju vara där linjen skär y och x-axeln så x=0 är uppenbar och x=1,5 fick jag fram genom att sätta linjen =0
Har du ritat? Var skär den andra kurvan x-axeln?
Vid pi/4
Jaha så arean till höger om pi/4 ska man inte ta med eftersom arean skulle vara mellan linjerna?
Vad är det som begränsar den sökta arean mellan x = pi/4 och x = 1,5?
Den sökta arean är väl ändå inte mellan pi/4 och 1,5 utan 0 och pi/4?
Rita och visa hur området ser ut.
Det är det allra mörkaste området som vi ska beräkna
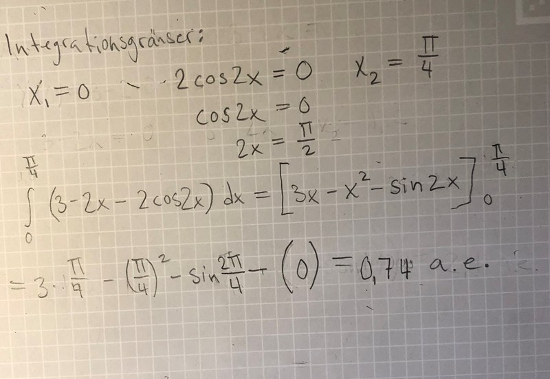
Får svaret till 0,74a.e. vilket inte stämmer överens med facit
Fricky skrev:
Det är det allra mörkaste området som vi ska beräkna
Jag skulle tolka det som hela det grå området, d v s alla punkter som ligger
- under linjen y=3-2x
- över kurvan 2 cos(2x)
- i första kvadranten.
Det var ju så jag räknade ut det först som du kan se på min första bild, men det blev också fel
Nej, du använde 2cos2x som undre gräns hela vägen. Det var därför jag frågade om vad som händer när x > pi/4.
Aha okej tack ska kolla om det blir rätt nu
Nej, den area du har beräknat med din första integral är denna:
