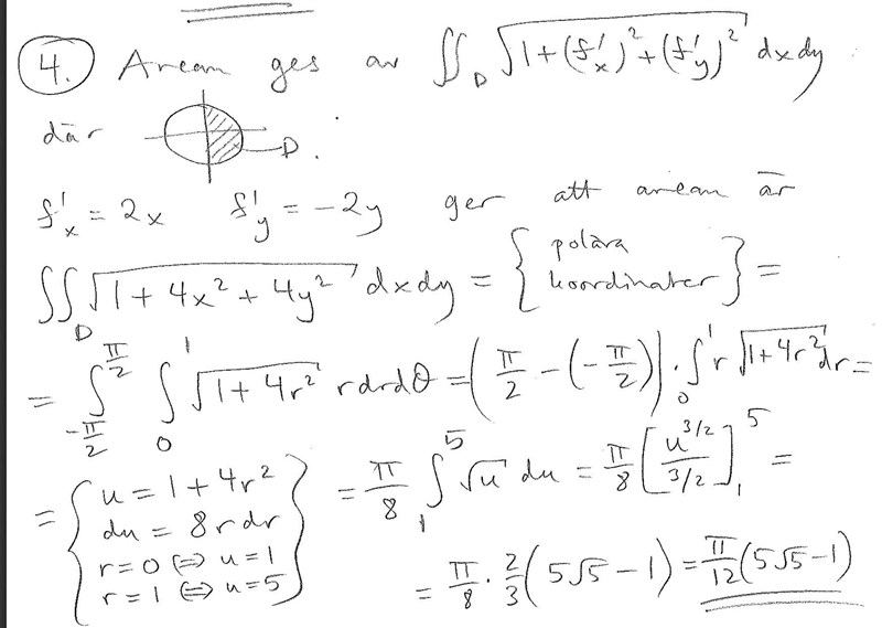
Beräkna arean
Här har man omvandlat till polära koordinater, men jag förstår inte riktigt var r:et i rdrdq kommer i från.
Man har skrivit om 4(x^2 + y^2) till 4r^2, men r:et efter rot-tecknet förstår jag inte riktigt.

Effektivt så är omskrivningsregeln för de differentiella elementen helt enkellt
Härledningen av detta kan göras på flera vis. Det mest mekaniska är via Jacobideterminanten som ses här: https://en.wikipedia.org/wiki/Polar_coordinate_system#Generalization
Men det finns många andra väldigt geometrisk uppenbara förklaringar om man googlar runt på kombinationer av
polar coordinates, area element, dA osv
SeriousCephalopod skrev:Effektivt så är omskrivningsregeln för de differentiella elementen helt enkellt
Härledningen av detta kan göras på flera vis. Det mest mekaniska är via Jacobideterminanten som ses här: https://en.wikipedia.org/wiki/Polar_coordinate_system#Generalization
Men det finns många andra väldigt geometrisk uppenbara förklaringar om man googlar runt på kombinationer av
polar coordinates, area element, dA osv
tackar, samt förstår inte riktigt hur man har löst ut dθ? måste vi inte lösa dr först?
Nej. Om man utför itererad integration dvs hanterar en flervariabelsintegral genom att integrera över varje varje variabel för sig så kan man göra det i vilken ordning man vill.I detta fall så utnyttjar de att man kan separera integralen i två faktorer
-delen sig