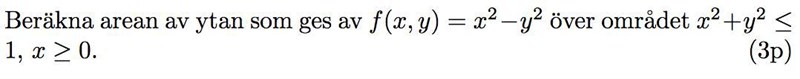
Beräkna arean
Här förstår jag inte gränserna, i ena fallet är det mellan pi/2 till -pi/2 och 1 till 0, men i det andra fallet är det mellan 1 till 0 och y till 0? i första är det konstant och i den andra har vi y? varför?




Halvcirkeln parametriseras enklast i polära koordinater:
v går från -π/2 till π/2
r går från 0 till 1
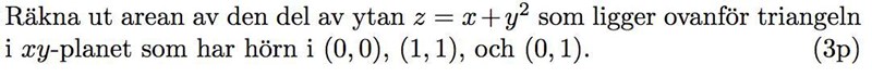
Triangeln parametriseras enklast i kartesiska koordinater:
x går från 0 till y
y går från 0 till 1
Den kan även parametriseras som
y går från x till 1
x går från 0 till 1
Dr. G skrev:Halvcirkeln parametriseras enklast i polära koordinater:
v går från -π/2 till π/2
r går från 0 till 1
Triangeln parametriseras enklast i kartesiska koordinater:
x går från 0 till y
y går från 0 till 1
Den kan även parametriseras som
y går från x till 1
x går från 0 till 1
Om gränserna i triangeln gick från 1 till 0 (x) och 1 till 0 (y) hade vi fått en kvadrat då?
Om gränserna i triangeln gick från 1 till 0 (x) och 1 till 0 (y) hade vi fått en kvadrat då?
Ja, och då hade det inte varit en triangel.
Smaragdalena skrev:Om gränserna i triangeln gick från 1 till 0 (x) och 1 till 0 (y) hade vi fått en kvadrat då?
Ja, och då hade det inte varit en triangel.
kunde vi dela kvadraten med 2 för att få triangeln?
Ja, om det hade varit triangelns area du var ute efter, men nu är du ute efter integrationsgränserna. Du vill ju beräkna arean av den del av ytan som ligger ovarför triangeln, och z-värdet beror ju på vilka värden x och y har.