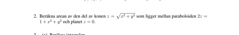
Beräkna arean av den del av konen som ligger mellan paraboloiden och z=0
Hej!
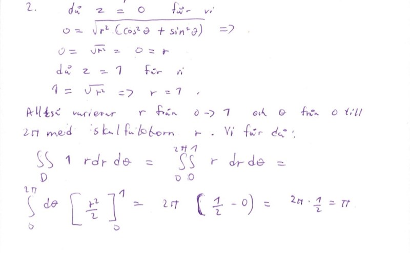
jag fick svaret till pi ,men facit fick det till sqrt(2) pi. Såhär gjorde jag i min lösning. Men jag vet inte var sqrt(2) pi kommer ifrån i deras lösning. Vad har man missat här?



Säg att du parametriserar konytan med variablerna r och . (Cylinderkoordinater)
Det gäller då att , där r ligger mellan 0 och 1 och mellan 0 och 2pi.
Det gäller då att
dS = =…= .
Tillägg: 5 jun 2025 21:18
Det ser ut som att du bara räknat ut arean av konens ”skugga” på xy-planet, vilket är en enhetscirkel (arean pi). Då missar du att konen inte är parallell med xy-planet och överallt bildar 45 graders vinkel mot xy-planet. Därav kommer faktorn sqrt(2) in.
PATENTERAMERA skrev:Säg att du parametriserar konytan med variablerna r och . (Cylinderkoordinater)
Det gäller då att , där r ligger mellan 0 och 1 och mellan 0 och 2pi.
Det gäller då att
dS = =…= .
Tillägg: 5 jun 2025 21:18
Det ser ut som att du bara räknat ut arean av konens ”skugga” på xy-planet, vilket är en enhetscirkel (arean pi). Då missar du att konen inte är parallell med xy-planet och överallt bildar 45 graders vinkel mot xy-planet. Därav kommer faktorn sqrt(2) in.
Hur vet man om konen är parallell med xy-planet eller inte? hur hanterar fallet där konen inte är parallell med xy-planet? Hm okej jag är inte med på varför man behövde parametrisera konen samt räkna ut kryssprodukten och ta längden av det? Jag gjorde också parametrisering med polära koordinater enligt lösningen ovan men jag antar att man ska då ha r(r,theta)=(rcosv,rsinv, r).
destiny99 skrev:PATENTERAMERA skrev:Säg att du parametriserar konytan med variablerna r och . (Cylinderkoordinater)
Det gäller då att , där r ligger mellan 0 och 1 och mellan 0 och 2pi.
Det gäller då att
dS = =…= .
Tillägg: 5 jun 2025 21:18
Det ser ut som att du bara räknat ut arean av konens ”skugga” på xy-planet, vilket är en enhetscirkel (arean pi). Då missar du att konen inte är parallell med xy-planet och överallt bildar 45 graders vinkel mot xy-planet. Därav kommer faktorn sqrt(2) in.
Hur vet man om konen är parallell med xy-planet eller inte? hur hanterar fallet där konen inte är parallell med xy-planet? Hm okej jag är inte med på varför man behövde parametrisera konen samt räkna ut kryssprodukten och ta längden av det? Jag gjorde också parametrisering med polära koordinater enligt lösningen ovan men jag antar att man ska då ha r(r,theta)=(rcosv,rsinv, r).
Detta är en trevlig video
https://www.youtube.com/watch?v=Ld-nhCDZEqM
Nja, konen är inte parallell med xy-planet, men z-axeln är en symmetriaxel till konen, och z-axeln är ortogonal mot xy-planet.
Ja, din parametrisering ser rätt ut.
Vi använder kryssprodukten för att få fram ytelementet dS. Det finns säkert i er bok någonstans.
Tillägg: 6 jun 2025 03:48


PATENTERAMERA skrev:Nja, konen är inte parallell med xy-planet, men z-axeln är en symmetriaxel till konen, och z-axeln är ortogonal mot xy-planet.
Ja, din parametrisering ser rätt ut.
Vi använder kryssprodukten för att få fram ytelementet dS. Det finns säkert i er bok någonstans.
Tillägg: 6 jun 2025 03:48
Jaha okej. Jag förstår, ja det här måste handla om arean av en yta dvs ytintegral eller tillämpningar som areor och volym som jag får kolla upp i kursboken. Jag räknade som om det handlade om en dubbelintegral över ett område. Lite misstolkning från min sida..
Det där med dS trodde jag hade mest med flödedintegral och sånt att göra. Tack för hjälpen!
Trinity2 skrev:destiny99 skrev:PATENTERAMERA skrev:Säg att du parametriserar konytan med variablerna r och . (Cylinderkoordinater)
Det gäller då att , där r ligger mellan 0 och 1 och mellan 0 och 2pi.
Det gäller då att
dS = =…= .
Tillägg: 5 jun 2025 21:18
Det ser ut som att du bara räknat ut arean av konens ”skugga” på xy-planet, vilket är en enhetscirkel (arean pi). Då missar du att konen inte är parallell med xy-planet och överallt bildar 45 graders vinkel mot xy-planet. Därav kommer faktorn sqrt(2) in.
Hur vet man om konen är parallell med xy-planet eller inte? hur hanterar fallet där konen inte är parallell med xy-planet? Hm okej jag är inte med på varför man behövde parametrisera konen samt räkna ut kryssprodukten och ta längden av det? Jag gjorde också parametrisering med polära koordinater enligt lösningen ovan men jag antar att man ska då ha r(r,theta)=(rcosv,rsinv, r).
Detta är en trevlig video
https://www.youtube.com/watch?v=Ld-nhCDZEqM
Tack! Ska kika på den.
Om man bara vill ha fram ett svar.