12 svar
219 visningar
karisma behöver inte mer hjälp
karisma 1983
Postad: 5 mar 2023 14:43

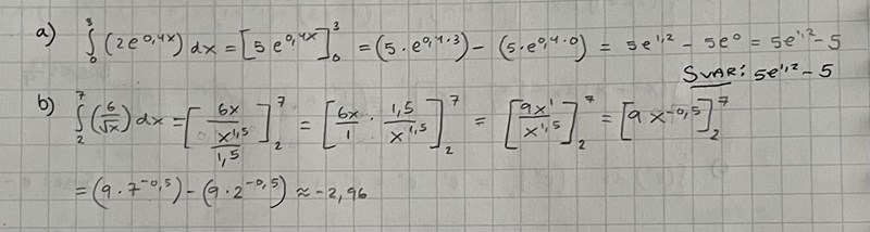
Beräkna arean av det färgade området

Hej!

Jag håller på med uppgift b) som du kan se nedan. Nedan kan du även se hur jag har gått tillväga för att lösa uppgiften. Jag har dock kommit fram till fel svar. Vad är det jag gör för fel?

Tack på förhand!

Ture 11144
Postad: 5 mar 2023 14:50

Skriv om integranden till 6*x-0,5 så ser du lättare vad den primitiva funktionen ska vara.

karisma 1983
Postad: 5 mar 2023 14:54

Varför ska jag skriva om x till upphöjt -0,5 och inte enbart upphöjt till 0,5? 

Även om det inte syns på pappret så skrev jag om det till 6/x0,5 och x0,5 blir som primitiv funktion x0,5+1/0,5+1 = x1,5/1,5 som jag skrev. Då har jag följt denna regel: xn = xn+1/n+1.

Ture 11144
Postad: 5 mar 2023 14:58

Ta för vana att derivera dina primitiva funktioner för att kontrollera att de har blivit riktiga!

f(x) = 6x=6*x-0,5

F(x) = 6*x0,50,5=12x0,5

karisma 1983
Postad: 5 mar 2023 15:03 Redigerad: 5 mar 2023 15:05

Hur blev x0,5 i nämnare till x-0,5 sen när du hade multiplicerat det med 6?

Sen undrar jag vad för fel det är jag gör i min uträkning när jag skriver den primitiva funktionen. Jag förstår att jag har fått fram fel svar, men jag förstår bara inte vad det är som har gjort att jag fått fram fel svar. Vilket steg är det jag gör fel? Är det när jag multiplicerar med det inverterade bråket?

Ture 11144
Postad: 5 mar 2023 15:06

är du med på att

1a1=a-1?

på samma sätt är

1x=1x0,5=x-0,5

karisma 1983
Postad: 5 mar 2023 15:08
Ture skrev:

är du med på att

1a1=a-1?

på samma sätt är

1x=1x0,5=x-0,5

Ja just ja! Hur kunde jag glömma det…

Ture 11144
Postad: 5 mar 2023 15:08

Du har gjort felet att du hanterat 

1xsom om det vore x

karisma 1983
Postad: 5 mar 2023 15:09
Ture skrev:

Du har gjort felet att du hanterat 

1xsom om det vore x

Vad menar du med det? (:

Ture 11144
Postad: 5 mar 2023 15:13

Jag tittade på den primitiva du fick fram i ditt första inlägg, det verkar som om du använt reglerna för xa trots att x står i nämnaren, dvs det står x-a

karisma 1983
Postad: 5 mar 2023 15:18

Jaha okejj så om något står i nämnaren av ett uttryck och jag sak skriva det som en primitiv funktion så kan jag ej använda denna regel: xn —>  xn+1/n+1 utan att ha skrivit exponenten (n) negativt först? 

Ture 11144
Postad: 5 mar 2023 15:23

Just det!

karisma 1983
Postad: 5 mar 2023 15:25

Okej, tack så mycket! Nu förstår jag vad jag gjorde för fel och har lärt mig av det. Nu vet jag hur jag ska göra framöver och att det är effektivt att använda sig av denna regel a-x = 1/a när man ska skriva en primitiv funktion av något med en nämnare. Tack för hjälpen! 

Svara
Close