Beräkna arean av det område som begränsas av kurvorna y = 6 − x^2 och y = x^2 − 2x + 2.
Hej, behöver hjälp och se till att detta blev rätt gjort.
Jag började med att hitta x-punkterna genom att använda mig utav pq-formeln.
Så jag gjorde såhär:
6 − x^2= x^2 − 2x + 2
6= 2x^2-2x+2
0=2x^2-2x-4
Sedan delade detta med 2
X^2-x-2
Nu pq-formel:
X=1÷2±√(1÷2)^2+2
X=0,5±√0.25+2
X=0.5±√2.25
X=0.5±1.5
X1=2 X2=-1
Nu när jag har x punkterna så kan jag fortsätta eller hur?
Mvh Alexandra
Hej och välkommen till pluggakuten!
Börja med att rita upp området vi ska beräkna. När vi jobbar med integraler eller dylikt är det alltid ett bra första steg att rita! :)
Alexandra00 skrev:...
X1=2 X2=-1
Nu när jag har x punkterna så kan jag fortsätta eller hur?
Ja det är rätt och du kan fortsätta. Vet du hur du ska gå vidare?
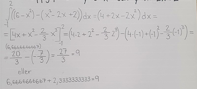
Ja jag tror det, jag börjar med att skriva det till en integral. Sen börjar jag med att skriva om det till en primitiv funktion.
Se bild. Kunde inte skriva detta på datorn så fick bli bild istället.
Ser det bra ut? Eller är det helt fel?

Det är rätt, men du missade att skriva dit ett integraltecken här:

Taaack så mycket. Denna var riktig svår att lösa dock. Mvh alexandra