2
svar
83
visningar
NikkeB94 behöver inte mer hjälp
Beräkna arean av området Integraler
Hej!
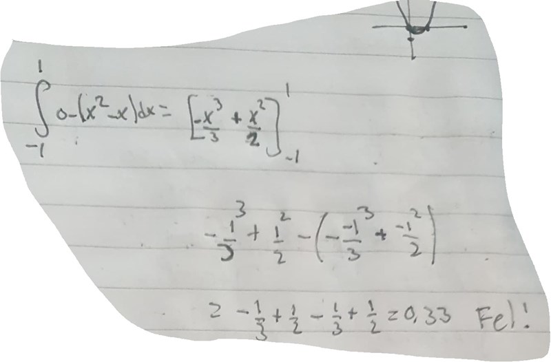
Söker nu hjälp ännu en gång då jag tydligen inte får kläm på denna uppgift... Frågan är väldigt likt "exempel videon" som man får i distanskursen, men när jag följer den samt "guiden" så får jag ändå fel svar i slutändan...
Facit säger 1/6 = ish 0.17 a.e.
någon som kan peka ut vart och hur jag gör del :)?

En av integrationsgränerna är fel, du gör också teckenfel på den primitiva funktionen.
Jo... ser det nu när jag gick ifrån datorn ett tag. ytan dem frågar efter är ju mellan x=0 och x=1
Det förklarar varför jag får rätt svar när jag räknar på den första delen.