Beräkna arean genom att göra en ekvation
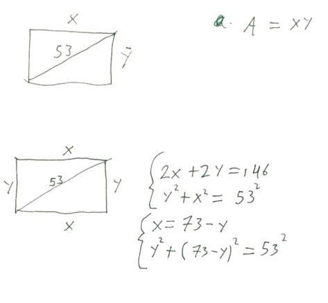
Beräkna arean av det rektangelformade område vars omkrets är 146m och där diaginalen är 53m. Gör en ekvation o lös den.
53 i kvadrat = a i kvadrat x b i kvadrat
146=2(b+h)
På rätt spår? Hur vidare? Tack för hjälp. H. Senil pappa
Ja, det är en bra början. Däremot behöver du inte kalla och för olika saker, de är nämligen samma variabler.
Ur den andra ekvationen kan du lösa ut för . Sätt sedan in den lösta uttrycket för i den övre ekvationen. Då får du en andragradsekvation som du kan lösa för att ta fram .
Egentligen behöver man inte enskilt räkna ut basen och höjden . Genom att sätta:
och kvadrera ekvationen kan man ganska enkelt bestämma termen , där är den sökta arean hos rektangeln.
Pelli skrev:Beräkna arean av det rektangelformade område vars omkrets är 146m och där diaginalen är 53m. Gör en ekvation o lös den.
53 i kvadrat = a i kvadrat x b i kvadrat
146=2(b+h)
På rätt spår? Hur vidare? Tack för hjälp. H. Senil pappa
Hej.
Du kan göra på följande sätt och lösa ut de okända variablerna i ekvationssystemet, sedan så kan du beräkna arean. 