2
svar
104
visningar
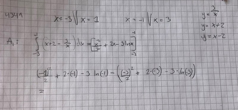
Beräkna arean under grafen
Jag skulle behöva hjälp med den här uppgiften

såhär gjorde jag, men det tar stopp redan där för det går ju inte att ta ln(-1)..
tomast80 skrev:
Jaha så det är alltså alltid sträckan x som man måste ta när det är lnx med i ekvationen? och den är alltid positiv