Beräkna arean under två grafer
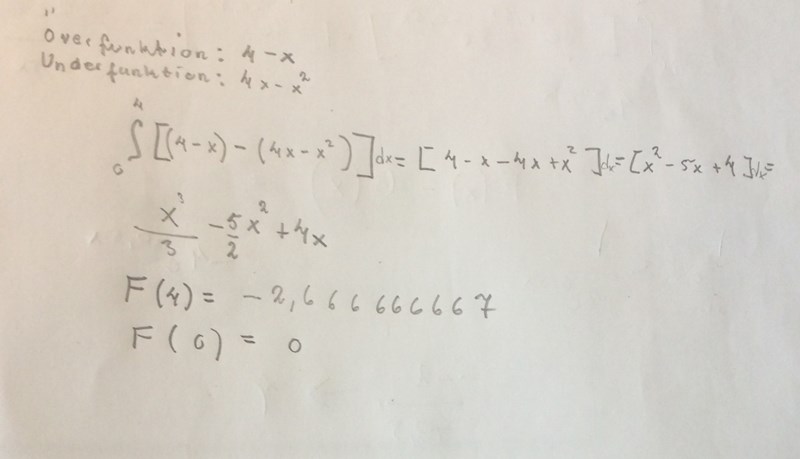
Okej så jag tänkte bara att det är att hitta under och överfunktionen från 0 till 4 i x:

Men detta blev fel svar ;(
Visa spoiler
Facit säger 6 1/6 =6,17 AE
Över- och underfunktion handlar om vilka funktioner som avgränsar området, ovanifrån och underifrån. Den undre begränsningen är x-axeln, dvs funktionen y=0. Den övre växlar, fram till x=1 är det andragradskurvan, och mellan x=1 och x=4 är det linjen.
Skaft skrev:Över- och underfunktion handlar om vilka funktioner som avgränsar området, ovanifrån och underifrån. Den undre begränsningen är x-axeln, dvs funktionen y=0. Den övre växlar, fram till x=1 är det andragradskurvan, och mellan x=1 och x=4 är det linjen.
Okej verkar som att jag inte riktigt förstått det med övre och underfunktioner. Så jag ska dela upp den och fram till 1 räkna med parabeln som över och från 1 till 4 räkna med linjen ?
linnea.matte skrev:Skaft skrev:Över- och underfunktion handlar om vilka funktioner som avgränsar området, ovanifrån och underifrån. Den undre begränsningen är x-axeln, dvs funktionen y=0. Den övre växlar, fram till x=1 är det andragradskurvan, och mellan x=1 och x=4 är det linjen.
Okej verkar som att jag inte riktigt förstått det med övre och underfunktioner. Så jag ska dela upp den och fram till 1 räkna med parabeln som över och från 1 till 4 räkna med linjen ?
Det stämmer!
tomast80 skrev:linnea.matte skrev:Skaft skrev:Över- och underfunktion handlar om vilka funktioner som avgränsar området, ovanifrån och underifrån. Den undre begränsningen är x-axeln, dvs funktionen y=0. Den övre växlar, fram till x=1 är det andragradskurvan, och mellan x=1 och x=4 är det linjen.
Okej verkar som att jag inte riktigt förstått det med övre och underfunktioner. Så jag ska dela upp den och fram till 1 räkna med parabeln som över och från 1 till 4 räkna med linjen ?
Det stämmer!
Det blir ändå inte rätt svar
Det blir bara fel ;(
Du lurar dig själv med den blandade formen på slutet. 4.5 blir som sen blir 4/2 =)
Skaft skrev:Du lurar dig själv med den blandade formen på slutet. 4.5 blir som sen blir 4/2 =)
Du menar nog 9/2.
Laguna skrev:Skaft skrev:Du lurar dig själv med den blandade formen på slutet. 4.5 blir som sen blir 4/2 =)
Du menar nog 9/2.
Nej, det är vad TS menar. Jag citerade uträkningen.
Skaft skrev:Laguna skrev:Skaft skrev:Du lurar dig själv med den blandade formen på slutet. 4.5 blir som sen blir 4/2 =)
Du menar nog 9/2.
Nej, det är vad TS menar. Jag citerade uträkningen.
Åh, ursäkta.
Skaft skrev:Du lurar dig själv med den blandade formen på slutet. 4.5 blir som sen blir 4/2 =)
Aha okej, det ska egentligen vara 9/2 !