0
svar
243
visningar
L_RForAM behöver inte mer hjälp
Beräkna cellpotential i en koncentrations cell
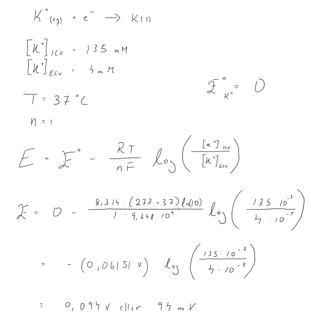
FRÅGA: En viktig elektrolyt i hjärtats arbete är kaliumjoner vars koncentration är olika i intracellulär vätska (ICV), typiskt [K+]ICV =135 mM, och utanför hjärtmuskelceller i den extracellulär vätska (ECV), typiskt [K+]ECV = 4 mM. Beräkna cellpotentialen vid 37 °C som genereras av ovan nämnda skillnad i koncentration av kaliumjoner. Kommentera vad ditt beräkningsresultat visar om arbetet som krävs eller utvinns för att göra kaliumjonernas koncentration större i den intracellulära vätskan

Ser beräkningarna korrekta ut ? Hur besvarar jag bäst "arbetet som krävs eller utvinns för att göra kaliumjonernas koncentration större i den intracellulära vätskan"?
Tack för hjälp!