beräkna cos(2arctan(1/2))

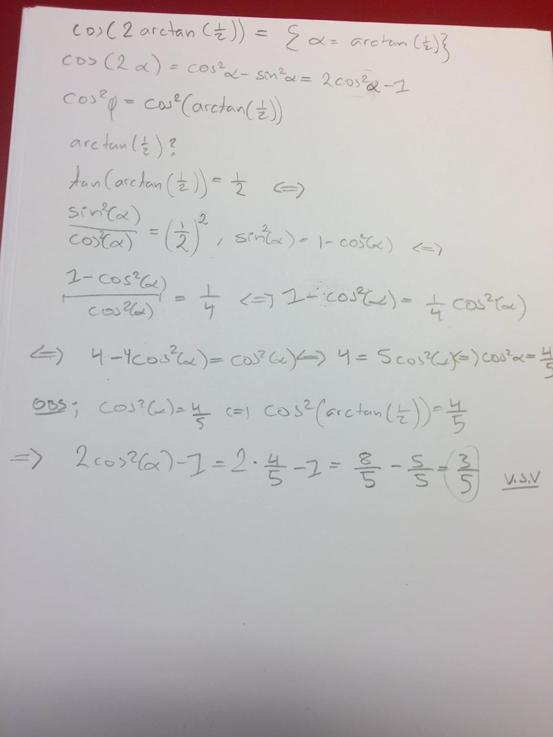
Hej, frågan består i att beräkna cos(2arctan(1/2)) som är 3/5. Jag får det till 0.54... osv. Vilket är fel. Min tankegång finns illustrerad, förhoppningsvis tydlig och klar på bilden. Jag ville helt enkelt göra mig av med arctan(1/2) och fick arctan(1/2) till 1/2, enligt räkningarna ovan.
All hjälp på vägen uppskttas mycket.
Tacknpå förhand.
Jag tror att jag har hittat problemet, illustreras i bilden ovan, någon annan får gärna konfirmera detta.
blygummi skrev:
Hej, frågan består i att beräkna cos(2arctan(1/2)) som är 3/5. Jag får det till 0.54... osv. Vilket är fel. Min tankegång finns illustrerad, förhoppningsvis tydlig och klar på bilden. Jag ville helt enkelt göra mig av med arctan(1/2) och fick arctan(1/2) till 1/2, enligt räkningarna ovan.
All hjälp på vägen uppskttas mycket.
Tacknpå förhand.
Ett fel är att arctan(1/2) inte är lika med arcsin(1/2)/arccos(1/2).
Det ser du kanske om du ritar motsvarande bild för arctan(1/2). Då är förhållandet mellan motstående och närliggande katet lika med 1/2, vilket inte alls är samma som på din bild med arcsin och arccos.
Tips
Använd istället formeln för dubbla vinklen för tangens:Yngve skrev:blygummi skrev:
Hej, frågan består i att beräkna cos(2arctan(1/2)) som är 3/5. Jag får det till 0.54... osv. Vilket är fel. Min tankegång finns illustrerad, förhoppningsvis tydlig och klar på bilden. Jag ville helt enkelt göra mig av med arctan(1/2) och fick arctan(1/2) till 1/2, enligt räkningarna ovan.
All hjälp på vägen uppskttas mycket.
Tacknpå förhand.
Ett fel är att arctan(1/2) inte är lika med arcsin(1/2)/arccos(1/2).
Det ser du kanske om du ritar motsvarande bild för arctan(1/2). Då är förhållandet mellan motstående och närliggande katet lika med 1/2, vilket inte alls är samma som på din bild med arcsin och arccos.
Tips
Använd istället formeln för dubbla vinklen för tangens:
Jaha! Det visste jag inte! Jag är så van med att tan(x)=sin(x)/cos(x)! Okej! Då är jag med på det! Jag tror jag löste det i alla fall, men ändå intressant och se hur du menar med tan(2v). 
Om jag teoretisk sätt kände till, i mitt fall, alpha, kan jag bara då stoppa in den i cos(2 alpha) och få rätt svar? Jag är ganska säker på att det inte är några problem men frågar bara för att vara säker.
blygummi skrev:
Jaha! Det visste jag inte! Jag är så van med att tan(x)=sin(x)/cos(x)! Okej! Då är jag med på det! Jag tror jag löste det i alla fall, men ändå intressant och se hur du menar med tan(2v).
Jag tänkte så här:
Kalla vinkeln arctan(1/2) för v. Rita en rätvinklig triangel med vinkel 2v. Om vi känner till längden på närliggande katet och hypotenusa kan vi enkelt beräkna cos(2v).
Eftersom vi känmer till att tan(v) = 1/2 så kan vi beräkna värdet av tan(2v) med hjälp av formeln. Därifrån kan vi använda Pythagors sats för att bestämma hypotenusans längd och därefter värdet av cos(2v).
Men jag inser nu att det var en onödigt krånglig metod.
Enklare metod:
Sätt
Rita en rätvinklig triangel med kateter 1 (motstående v) och 2 (närliggande v).
Hypotenusan är då
Vi söker , som enligt en formel för dubbla vinkeln är lika med .
Eftersom och så får vi att