3
svar
126
visningar
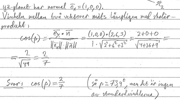
beräkna cos(B) där B är vinkeln mellan yz-planet samt planet innehåller A,B,C
Hur fick dom n=(1,0,0) på d? 

De har = (2, 6, 3).
(1, 0, 0) = , dvs normalvektorn till yz-planet.
PATENTERAMERA skrev:De har = (2, 6, 3).
(1, 0, 0) = , dvs normalvektorn till yz-planet.
jag förstår inte hur de blev 1,0,0 skulle uppskatta om du kan visa hur dom räkna ut 1,0,0
Vad är oklart?
Att ex är normalvektor till yz-planet?
Att ex = (1, 0, 0)?